Secondaire 5 • 4a
Comment simplifier sec^2 θ - 1 ?
Selon mon manuel la réponse devrait être tan^2 θ.
Cependant je n'y arrive pas, j'ai mis mes essais ci-dessous.
Comment simplifier sec^2 θ - 1 ?
Selon mon manuel la réponse devrait être tan^2 θ.
Cependant je n'y arrive pas, j'ai mis mes essais ci-dessous.
Ce contenu est protégé par le droit d'auteur. Toute reproduction à l'extérieur des forums Alloprof est interdite et pourra être considérée comme une violation du droit d'auteur.
Explication d'Alloprof
Cette explication a été donnée par un membre de l'équipe d'Alloprof.
Salut!
Pour ton premier essai,
Ce contenu est protégé par le droit d'auteur. Toute reproduction à l'extérieur des forums Alloprof est interdite et pourra être considérée comme une violation du droit d'auteur.
Tu ne peux pas décider de rajouter un cos²x seulement au dénominateur comme cela. Si tu veux ajouter un cos, tu dois le faire au numérateur ET au dénominateur, comme ceci :
$$ \frac{1}{cos²x}-(\frac{sin²xcos²x}{cos²x}+\frac{cos²xcos²x}{cos²x})$$
De toute façon, ceci n'est pas la meilleure façon de simplifier l'expression.
Concernant ton deuxième essai,
Ce contenu est protégé par le droit d'auteur. Toute reproduction à l'extérieur des forums Alloprof est interdite et pourra être considérée comme une violation du droit d'auteur.
Le nombre 1 ne peut pas devenir ce qu'il y a dans la parenthèse, puisque cela signifierait que
$$ 1 = tan²x+1$$
Ce qui est faux.
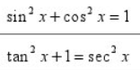
Pour effectuer cette simplification, tu auras besoin d'utiliser l'une ou l'autre de ces identités :
Ce contenu est protégé par le droit d'auteur. Toute reproduction à l'extérieur des forums Alloprof est interdite et pourra être considérée comme une violation du droit d'auteur.
En transformant la 2e identité, on a :
$$ tan²x+1=sec²x$$
$$ tan²x+1-1=sec²x-1$$
$$ tan²x=sec²x-1$$
On peut aussi utiliser la première identité pour prouver la même chose. Je te laisse le faire.
Voici une liste d'identités trigonométriques qui te seront souvent utiles lorsque tu voudras simplifier une expression :
Ce contenu est protégé par le droit d'auteur. Toute reproduction à l'extérieur des forums Alloprof est interdite et pourra être considérée comme une violation du droit d'auteur.
Voici une fiche sur cette notion qui pourrait t'être utile : https://www.alloprof.qc.ca/fr/eleves/bv/mathematiques/les-identites-trigonometriques-m1357
J'espère que c'est plus clair pour toi! :)
Explication d'un(e) pro de la Zone d'entraide
Tu peux faire confiance à cette explication, car elle est donnée par une personne identifiée comme étant fiable par Alloprof.
Voici une identité trigonométrique qui te sera utile.
tan^2 + 1 = sec^2
Tu as bien pensé à utiliser sin^2 + cos^2 = 1 mais pas au bon endroit
Ce contenu est protégé par le droit d'auteur. Toute reproduction à l'extérieur des forums Alloprof est interdite et pourra être considérée comme une violation du droit d'auteur.
de plus
Ce contenu est protégé par le droit d'auteur. Toute reproduction à l'extérieur des forums Alloprof est interdite et pourra être considérée comme une violation du droit d'auteur.
(Moi je n'ai pas de mémoire mais dans le temps j'étais assez rapide à pouvoir déduire plusieurs identités à partir des identités de base... évidemment aux examens, c'est utile d'avoir une bonne mémoire.)
Suggestions en lien avec la question
Suggestion en lien avec la question
Voici ce qui a été trouvé automatiquement sur le site, en espérant que ça t’aide!