Skip to content

Zone d’entraide

Question de l’élève

Secondaire 3 • 4a

Bonjour, j'ai des problèmes avec les relations et fonction. Plus précisément avec le taux de variation, je ne sais pas si c'est moi ou le professeur de ma classe de mathématique mais j'ai beau me forcer, je ne comprend pas les explications du professeur et ce depuis le début de l'année.


Merci d'avance pour votre aide.

Mathématiques
avatar
avatar

{t c="richEditor.description.title"} {t c="richEditor.description.paragraphMenu"} {t c="richEditor.description.inlineMenu"} {t c="richEditor.description.embed"}

Explications (1)

  • Explication d'Alloprof

    Explication d'Alloprof

    Cette explication a été donnée par un membre de l'équipe d'Alloprof.

    Options
    Équipe Alloprof • 4a

    Salut GeckoMauve5943,

    Merci pour ta question!

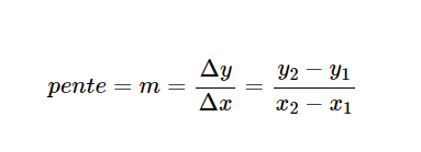
    Le taux de variation d'une droite correspond à son inclinaison. Il s'agit d'une valeur numérique qui permet de savoir si une droite est très inclinée, ou non, et si elle est croissante ou décroissante. On retrouve cette valeur à l'aide de la formule suivante:

    image.png

    En passant, pente et taux de variation sont synonymes. Bref, comme tu peux le voir dans la formule, il s'agit de la différence entre deux coordonnées d'une droite. Il faut soustraire les valeurs de y ensemble et les diviser par la différence de x2 et x1.

    Prenons-en exemple un taux de variation de 2. Pour savoir comment ce taux de variation se comporte, il faut le transformer en fraction, dans notre cas 2/1. Le chiffre du bas correspond aux x et celui du haut aux y, c'est la formule qui dicte cet ordre. Alors, lorsqu'on se déplace de 1 en x, on monte de 2 en y. Peu importe la valeur de la pente ce truc s'applique. Voici une fiche sur la pente si tu veux en savoir plus:

    J'espère que ça t'aide et n'hésite pas à nous réécrire si tu as d'autres questions!

    Anthony B.

Poser une question