Secondaire 5 • 4a
Bonjour,
pour la question
'' Quel sera le pH de la solution si l'on dissout 1,14 mol de NaF dans 8,55 L d’eau ? ''
Le pH 7 nest pas la bonne réponse. Je comprends pas puisque ma molécule est (supposément) un sel. Quelqu'un pourrait m'éclairer svp sur la nature de la molécule ? et sur comment trouver le pH vu que je n'ai pas d'ions H a calculer
Explication d'Alloprof
Cette explication a été donnée par un membre de l'équipe d'Alloprof.
Bonsoir CobraAlpha2169,
Merci de solliciter nos services.
Tout d’abord, le NaF est bel et bien un sel. Toutefois, c’est un sel que nous disons basique, c’est-à-dire qu’il y a un pH légèrement plus élevé que 7.
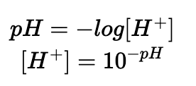
Donc, dans ce cas-ci, nous devons tout d’abord, calculer la concentration de solution à l’aide des informations données. Par la suite, il faudra que tu détermines si la concentration trouvée est une concentration en ions H+ ou OH- afin d’utiliser la bonne formule et finalement trouver le pH.
Voici les formules dont je fais allusion :
Ce contenu est protégé par le droit d'auteur. Toute reproduction à l'extérieur des forums Alloprof est interdite et pourra être considérée comme une violation du droit d'auteur.
Ce contenu est protégé par le droit d'auteur. Toute reproduction à l'extérieur des forums Alloprof est interdite et pourra être considérée comme une violation du droit d'auteur.
Ce contenu est protégé par le droit d'auteur. Toute reproduction à l'extérieur des forums Alloprof est interdite et pourra être considérée comme une violation du droit d'auteur.
Finalement, je t’invite à consulter la fiche explicative ci-dessous pour en apprendre davantage sur le sujet.
En espérant que ma réponse t’aide un petit peu!
N’hésite pas à nous réécrire si tu as d’autres questions!
Émilie
Suggestions en lien avec la question
Suggestion en lien avec la question
Voici ce qui a été trouvé automatiquement sur le site, en espérant que ça t’aide!