Secondaire 5 • 4a
Bonsoir,
en fait, comment je fais pour trouver la concentration de ions OH-, car l'information n'est pas donnée
Bonsoir,
en fait, comment je fais pour trouver la concentration de ions OH-, car l'information n'est pas donnée
Explication d'Alloprof
Cette explication a été donnée par un membre de l'équipe d'Alloprof.
Bonjour CobraAlpha,
Merci pour ta question!
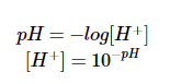
Tu peux déduire une concentration de OH- à partir d'une concentration de H+ grâce à ces formules:
Ce contenu est protégé par le droit d'auteur. Toute reproduction à l'extérieur des forums Alloprof est interdite et pourra être considérée comme une violation du droit d'auteur.
Ce contenu est protégé par le droit d'auteur. Toute reproduction à l'extérieur des forums Alloprof est interdite et pourra être considérée comme une violation du droit d'auteur.
Je t'invite à consulter cette fiche explicative:
N'hésite pas si tu as encore besoin d'aide:)
Kylan
Suggestions en lien avec la question
Suggestion en lien avec la question
Voici ce qui a été trouvé automatiquement sur le site, en espérant que ça t’aide!