Secondaire 4 • 3a
Hey, je me demandais sur une droite perpendiculaire AB comment ont fait pour trouver les coordonner du point A a partir du point milieu et du point B.
Le point milieu et le point B vous le décider. J'aurais juste besoin de savoir quel formule utiliser et comment faire.
Explication d'Alloprof
Cette explication a été donnée par un membre de l'équipe d'Alloprof.
Bonjour,
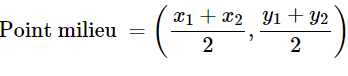
Voici l'équation du point milieu :
où (x1,y1) est le point A et (x2,y2), le point B
Ce contenu est protégé par le droit d'auteur. Toute reproduction à l'extérieur des forums Alloprof est interdite et pourra être considérée comme une violation du droit d'auteur.
Donc je peux expliciter cela :
Ce contenu est protégé par le droit d'auteur. Toute reproduction à l'extérieur des forums Alloprof est interdite et pourra être considérée comme une violation du droit d'auteur.
Ainsi, pour trouver le point A, tu dois isoler et trouver x1 dans la première formule et y1 dans la seconde.
Bonne journée
Suggestions en lien avec la question
Suggestion en lien avec la question
Voici ce qui a été trouvé automatiquement sur le site, en espérant que ça t’aide!