Je suis vraiment mais vraiment tanné des log est ce que quelqu’un peut m’aider?
Ce contenu est protégé par le droit d'auteur. Toute reproduction à l'extérieur des forums Alloprof est interdite et pourra être considérée comme une violation du droit d'auteur.
Tu dois poser une égalité dont l'un des côtés sera l'addition des trois premières expressions, et l'autre l'expression numéro 4.
Avant de faire cela, je te conseille de simplifier chacune des expressions.
Pour la première :
Ce contenu est protégé par le droit d'auteur. Toute reproduction à l'extérieur des forums Alloprof est interdite et pourra être considérée comme une violation du droit d'auteur.
Sachant que :
$$ ln = log_{e}$$
On peut alors réécrire l'expression comme ceci :
$$ log_{e}e^2 + (log_{e}e)^3 - log_{e}e^{-1}$$
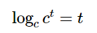
Lorsque l'argument d'un logarithme est identique à sa base, alors il est équivalent à l'exposant de l'argument.
Ce contenu est protégé par le droit d'auteur. Toute reproduction à l'extérieur des forums Alloprof est interdite et pourra être considérée comme une violation du droit d'auteur.
On a donc :
$$ 2 + 1^3 - -1 = 2 + 1 + 1 = 4$$
L'expression numéro 1 est donc équivalente à 1. Je te laisse faire la même chose pour les expressions 2 et 3. Puis, tu devras poser l'égalité et isoler la variable w.
Voici une fiche sur cette notion qui pourrait t'être utile :
Explication d'Alloprof
Cette explication a été donnée par un membre de l'équipe d'Alloprof.
Salut!
Tu dois poser une égalité dont l'un des côtés sera l'addition des trois premières expressions, et l'autre l'expression numéro 4.
Avant de faire cela, je te conseille de simplifier chacune des expressions.
Pour la première :
Ce contenu est protégé par le droit d'auteur. Toute reproduction à l'extérieur des forums Alloprof est interdite et pourra être considérée comme une violation du droit d'auteur.
Sachant que :
$$ ln = log_{e}$$
On peut alors réécrire l'expression comme ceci :
$$ log_{e}e^2 + (log_{e}e)^3 - log_{e}e^{-1}$$
Lorsque l'argument d'un logarithme est identique à sa base, alors il est équivalent à l'exposant de l'argument.
Ce contenu est protégé par le droit d'auteur. Toute reproduction à l'extérieur des forums Alloprof est interdite et pourra être considérée comme une violation du droit d'auteur.
On a donc :
$$ 2 + 1^3 - -1 = 2 + 1 + 1 = 4$$
L'expression numéro 1 est donc équivalente à 1. Je te laisse faire la même chose pour les expressions 2 et 3. Puis, tu devras poser l'égalité et isoler la variable w.
Voici une fiche sur cette notion qui pourrait t'être utile :
Les lois des logarithmes | Secondaire | Alloprof
Si tu as d'autres questions, on est là! :)
Explication d'un(e) pro de la Zone d'entraide
Tu peux faire confiance à cette explication, car elle est donnée par une personne identifiée comme étant fiable par Alloprof.
Avec une calculatrice tu peux trouver les valeurs des 3 premières expression.
Tu les additionne pour obtenir 1 nombre.
nombre = expression 4
Dans l'expression 4 seul log w est une variable, donc tu calcul les autres pour avoir
nombre = log w + nombre
Tu envoie de l'autre coté
nombre - nombre = log w
nombre = log w
10^nombre = w
Suggestions en lien avec la question
Suggestion en lien avec la question
Voici ce qui a été trouvé automatiquement sur le site, en espérant que ça t’aide!