Ce contenu est protégé par le droit d'auteur. Toute reproduction à l'extérieur des forums Alloprof est interdite et pourra être considérée comme une violation du droit d'auteur.
Le rapport de - la distance entre l'image et la lentille (-di) sur la distance entre l'objet et la lentille (do) correspond au grandissement, qui est donné dans le problème. Tu peux alors isoler -di.
Ce contenu est protégé par le droit d'auteur. Toute reproduction à l'extérieur des forums Alloprof est interdite et pourra être considérée comme une violation du droit d'auteur.
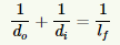
En connaissant di, tu peux calculer la longueur focale de la lentille grâce à la formule suivante:
Ce contenu est protégé par le droit d'auteur. Toute reproduction à l'extérieur des forums Alloprof est interdite et pourra être considérée comme une violation du droit d'auteur.
Tu peux consulter cette fiche explicative au besoin:
Explication d'Alloprof
Cette explication a été donnée par un membre de l'équipe d'Alloprof.
Bonjour WapitiRomantique,
Merci pour ta question!
Le rapport de - la distance entre l'image et la lentille (-di) sur la distance entre l'objet et la lentille (do) correspond au grandissement, qui est donné dans le problème. Tu peux alors isoler -di.
Ce contenu est protégé par le droit d'auteur. Toute reproduction à l'extérieur des forums Alloprof est interdite et pourra être considérée comme une violation du droit d'auteur.
En connaissant di, tu peux calculer la longueur focale de la lentille grâce à la formule suivante:
Ce contenu est protégé par le droit d'auteur. Toute reproduction à l'extérieur des forums Alloprof est interdite et pourra être considérée comme une violation du droit d'auteur.
Tu peux consulter cette fiche explicative au besoin:
N'hésite pas si tu as encore besoin d'aide:)
Kylan
Suggestions en lien avec la question
Suggestion en lien avec la question
Voici ce qui a été trouvé automatiquement sur le site, en espérant que ça t’aide!