Secondaire 3 • 3a
Je n'arrive pas trouver l'ordonné à l'origine de cette situation
Pouvez-vous me l'expliquer en détail s'il vous plaît
Je n'arrive pas trouver l'ordonné à l'origine de cette situation
Pouvez-vous me l'expliquer en détail s'il vous plaît
Pour trouver l'ordonée à l'origine, il faut d'abord trouver l'équation de la fonction. L'équation d'une droite est:
y=ax+b
Commençons par trouver le a. Pour ce faire, il nous faut deux couples ainsi que la formule:
a = y2-y1/x2-x1.
Nous avons deux couples déjà identifiés, alors insérons les dans la formule:
Ce contenu est protégé par le droit d'auteur. Toute reproduction à l'extérieur des forums Alloprof est interdite et pourra être considérée comme une violation du droit d'auteur.
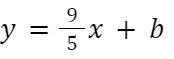
Nous avons trouvé le a, notre équation ressemble maintenant à :
Ce contenu est protégé par le droit d'auteur. Toute reproduction à l'extérieur des forums Alloprof est interdite et pourra être considérée comme une violation du droit d'auteur.
Allons maintenant trouver le b. Pour ce faire, on insère un couple dans notre équation. Prenons par exemple, le couple (10,50):
Ce contenu est protégé par le droit d'auteur. Toute reproduction à l'extérieur des forums Alloprof est interdite et pourra être considérée comme une violation du droit d'auteur.
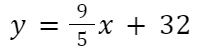
On trouve que le b est 32. L'équation finale de la droite est donc:
Ce contenu est protégé par le droit d'auteur. Toute reproduction à l'extérieur des forums Alloprof est interdite et pourra être considérée comme une violation du droit d'auteur.
Le b représente le point de départ de la droite sur l'axe des y (aussi appelée l'ordonnée à l'origine!) On peut donc conclure que 32 est l'ordonnée à l'origine de cette droite. Si on se valide en regardant le graphique, on voit que la droite croise l'axe des y à la hauteur de x=32.
Si tu as d'autres questionnements, n'hésites pas!
Explication d'Alloprof
Cette explication a été donnée par un membre de l'équipe d'Alloprof.
Bonjour Renard Charismatique!
Merci de faire appel à nos services 😉
Pour trouver les données, il faut d'abord trouver la règle de la fonction. Tu peux le faire à l'aide des deux points qui te sont fournis dans le graphique.
Pour réviser la manière de trouver une règle à l'aide de deux points, tu peux consulter la fiche explicative suivante:
J'espère que cela t'aidera!
Suggestions en lien avec la question
Suggestion en lien avec la question
Voici ce qui a été trouvé automatiquement sur le site, en espérant que ça t’aide!