Secondaire 5 • 3a
Allo! J'ai fais un laboratoire cette semaine dont le but est de trouver la relation entre la distance miroir-objet et la distance miroir-image. Lorsque j'ai fait mon graphique, cela m'a donné une parabole mais je ne comprends pas mon sommet. Celui-ci a une distance miroir image de 4,5cm et une distance miroir-objet de 45 cm. Mon centre de courbure étant de 10 cm. Je ne comprends pas comment expliquer la relation ni pourquoi ca me donne une parabole avec ce sommet.
Explication d'Alloprof
Cette explication a été donnée par un membre de l'équipe d'Alloprof.
Salut !
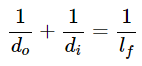
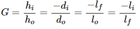
Il s'agit sûrement de miroirs courbes. Il existe plusieurs relations entre la distance et l'image pour les miroirs. Voici une fiche qui les résume :
Voici deux relations qui t'aideront à mieux comprendre :
Ce contenu est protégé par le droit d'auteur. Toute reproduction à l'extérieur des forums Alloprof est interdite et pourra être considérée comme une violation du droit d'auteur.
Ce contenu est protégé par le droit d'auteur. Toute reproduction à l'extérieur des forums Alloprof est interdite et pourra être considérée comme une violation du droit d'auteur.
Normalement, sachant que le centre de courbure et la distance focale sont constants, tu obtiens une relation non-linéaire. La relation est en effet influencer par la longueur focal, donc la courbure.
Je te laisse réétudier tes résultats et si tu as d'autres questions, n'hésite pas !
Suggestions en lien avec la question
Suggestion en lien avec la question
Voici ce qui a été trouvé automatiquement sur le site, en espérant que ça t’aide!