Skip to content

Zone d’entraide

Question de l’élève

Secondaire 5 • 3a
FA1502DB-F364-43A8-8096-9277EC163317.jpeg

Bonjour je ne comprends pas comment terminer ce numéro est-ce que vous pourriez m’aider ?

merci beaucoup!

Physique
avatar
avatar

{t c="richEditor.description.title"} {t c="richEditor.description.paragraphMenu"} {t c="richEditor.description.inlineMenu"} {t c="richEditor.description.embed"}

Explications (1)

  • Explication d'Alloprof

    Explication d'Alloprof

    Cette explication a été donnée par un membre de l'équipe d'Alloprof.

    Options
    Équipe Alloprof • 3a October 2022 modifié

    Salut !

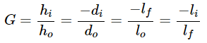
    Pour compléter cet exercice, tu as besoin des équations des miroirs :



    Tu dois manipuler en effet plusieurs formules. Dans ton cas, la pirouette mathématique se fera autour de la formule suivante et de la distance focale :


    image.png


    La premier cas te permettra de calculer la distance image-miroir (p dans ta formule). Par la suite, tu pourra calculer la longueur focale.

    (Indice : calculer la distance objet-foyer peut t'aider)

    Je te laisse essayer par toi-même et si tu as d'autres questions, n'hésite pas !

Poser une question