Ce contenu est protégé par le droit d'auteur. Toute reproduction à l'extérieur des forums Alloprof est interdite et pourra être considérée comme une violation du droit d'auteur.
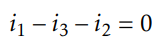
Il te faut scinder le circuit pour tes calcules. Comme le volt est une différence de potentiel, alors tu as besoin de calculer par borne. Puisque le potentielle est le même dans les deux sources, tu peux te dire qu'il est nul en dessous de la résistance 3. Tu peux donc utiliser la loi des courants au nœud :
Ce contenu est protégé par le droit d'auteur. Toute reproduction à l'extérieur des forums Alloprof est interdite et pourra être considérée comme une violation du droit d'auteur.
Ce contenu est protégé par le droit d'auteur. Toute reproduction à l'extérieur des forums Alloprof est interdite et pourra être considérée comme une violation du droit d'auteur.
Je te laisse essayer par toi-même et si tu as d'autres questions. n'hésite pas !
0
Suggestions en lien avec la question
Suggestion en lien avec la question
Voici ce qui a été trouvé automatiquement sur le site, en espérant que ça t’aide!
Explication d'Alloprof
Cette explication a été donnée par un membre de l'équipe d'Alloprof.
Salut !
Il te faut scinder le circuit pour tes calcules. Comme le volt est une différence de potentiel, alors tu as besoin de calculer par borne. Puisque le potentielle est le même dans les deux sources, tu peux te dire qu'il est nul en dessous de la résistance 3. Tu peux donc utiliser la loi des courants au nœud :
Ce contenu est protégé par le droit d'auteur. Toute reproduction à l'extérieur des forums Alloprof est interdite et pourra être considérée comme une violation du droit d'auteur.
Ce contenu est protégé par le droit d'auteur. Toute reproduction à l'extérieur des forums Alloprof est interdite et pourra être considérée comme une violation du droit d'auteur.
Je te laisse essayer par toi-même et si tu as d'autres questions. n'hésite pas !
Suggestions en lien avec la question
Suggestion en lien avec la question
Voici ce qui a été trouvé automatiquement sur le site, en espérant que ça t’aide!