Pour compléter l'explication de ton collègue, tu peux également utiliser la formule quadratique pour factoriser l'expression.
Ce contenu est protégé par le droit d'auteur. Toute reproduction à l'extérieur des forums Alloprof est interdite et pourra être considérée comme une violation du droit d'auteur.
Bonsoir AigleRapide5730, merci d’avoir utilisé la zone d’entraide pour répondre à tes questions!
Tu peux utiliser la technique produit-somme pour factoriser cette équation. Ensuite, mets en égalité chacun des deux facteurs trouvés avec zéro pour trouver x1 et x2.
Explication d'Alloprof
Cette explication a été donnée par un membre de l'équipe d'Alloprof.
Salut!
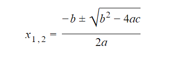
Pour compléter l'explication de ton collègue, tu peux également utiliser la formule quadratique pour factoriser l'expression.
Ce contenu est protégé par le droit d'auteur. Toute reproduction à l'extérieur des forums Alloprof est interdite et pourra être considérée comme une violation du droit d'auteur.
où a = 1, b= 6 et c=-1. Je te laisse faire le calcul. Voici une fiche sur cette notion qui pourrait t'être utile : La factorisation d'un trinôme par la formule quadratique | Secondaire | Alloprof
Bonne soirée! :)
premièrement, on déplace le -1 à l'autre côté de équation, qui donne
x² + 6x = +1
après on va trouver une moyen de le transformé en un carré de binôme. Donc on multiplie le terme correspondant dans les deux côté ,ça fait
formule: x*2 土2xy+y*2
terme correspont:9x*2
alors à toi de faire la reste.
Explication d'un(e) pro de la Zone d'entraide
Tu peux faire confiance à cette explication, car elle est donnée par une personne identifiée comme étant fiable par Alloprof.
Bonsoir AigleRapide5730, merci d’avoir utilisé la zone d’entraide pour répondre à tes questions!
Tu peux utiliser la technique produit-somme pour factoriser cette équation. Ensuite, mets en égalité chacun des deux facteurs trouvés avec zéro pour trouver x1 et x2.
Voici une fiche qui présente différentes techniques de factorisation: https://www.alloprof.qc.ca/fr/eleves/bv/mathematiques/la-factorisation-d-un-polynome-m1077
Voici une fiche qui traite sur la résolution d’une équation par factorisation: https://www.alloprof.qc.ca/fr/eleves/bv/mathematiques/equation-ou-une-inequation-de-degre-2-m1397
J’espère que cela t’a guidé. N’hésite pas à poser des questions à nouveau!
PapillonTurquoise5300
Suggestions en lien avec la question
Suggestion en lien avec la question
Voici ce qui a été trouvé automatiquement sur le site, en espérant que ça t’aide!