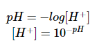
Le pH se détermine à l'aide d'un instrument de mesure, comme un papier pH ou un pH-mètre, ou bien se calcule à partir de cette formule:
Ce contenu est protégé par le droit d'auteur. Toute reproduction à l'extérieur des forums Alloprof est interdite et pourra être considérée comme une violation du droit d'auteur.
Explication d'Alloprof
Cette explication a été donnée par un membre de l'équipe d'Alloprof.
Bonjour DiamantRaisonnable,
Merci pour ta question!
Le pH se détermine à l'aide d'un instrument de mesure, comme un papier pH ou un pH-mètre, ou bien se calcule à partir de cette formule:
Ce contenu est protégé par le droit d'auteur. Toute reproduction à l'extérieur des forums Alloprof est interdite et pourra être considérée comme une violation du droit d'auteur.
Tu peux consulter cette fiche au besoin:
N'hésite pas si tu as encore besoin d'aide:)
Kylan
Suggestions en lien avec la question
Suggestion en lien avec la question
Voici ce qui a été trouvé automatiquement sur le site, en espérant que ça t’aide!