Skip to content

Zone d’entraide

Question de l’élève

Secondaire 2 • 2a

Comment je fais pour trouver la petite base d'un tronc de pyramide a base carrée avec les seuls informations disponibles étant:


L'hauteur: 5 cm

Le coté de la grande base: 24 cm

L'aire latérale: 400 cm

Mathématiques
avatar
avatar

{t c="richEditor.description.title"} {t c="richEditor.description.paragraphMenu"} {t c="richEditor.description.inlineMenu"} {t c="richEditor.description.embed"}

Explications (4)

  • Explication d'un(e) pro de la Zone d'entraide Explication d'un(e) Pro

    Explication d'un(e) pro de la Zone d'entraide

    Tu peux faire confiance à cette explication, car elle est donnée par une personne identifiée comme étant fiable par Alloprof.

    Options
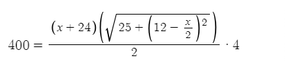
    Pro de la zone d’entraide • 2a March 2023 modifié

    Salut :)

    C'est peut-être ça :

    • la hauteur est la hauteur du trapèze qui construit le tronc de la pyramide
    • l'aire latérale est l'aire latérale du tronc de la pyramide

    Ainsi, on a :

    h = 5

    B = 24

    A = 400

    A = 4*(B+c)*h ÷ 2


    400 = 4 * (24+c)*5 ÷ 2

    c = 16


    p.s.: l'idée de Fer Upsilon est excellente, mais en essayant d'entrer les valeurs dans Desmos, j'ai obtenu une valeur négative...???

    Alors que je croyais que j'avais fait une erreur, Avocat Tenace a fait la remarque que tu es en sec 2...

    sec 2

    2

    ....?

    Je vais confiance à la gentillesse de ton prof, il/elle ne devrait pas te demander d'isoler "x" dans

    image.png

    Bonne journée ♥

  • Options
    2a

    @Titane,

    Si l image de FerUpsilon ne correspond pas à ton problème alors envoie une photo de ton problème.


    Cela me semble complexe pour du secondaire 2 où tu n es pas censé connaître le théorème de Pythagore.

  • Explication d'Alloprof

    Explication d'Alloprof

    Cette explication a été donnée par un membre de l'équipe d'Alloprof.

    Options
    Équipe Alloprof • 2a March 2023 modifié

    Bonjour bonjour !

    L'aire latérale d'une pyramide se calcule en multipliant le périmètre de la base et l'apothème; le tout divisé par 2.

    Voilà la formule que tu dois utiliser ! Il va aussi falloir calculer l'hauteur car l'apothème n'est pas pareille.

  • Options
    2a


    image.png

    À l'aide de l'aire latérale (400 cm² ?), tu peux déterminer la mesure c du côté de la petite base carrée.

Poser une question