Skip to content

Zone d’entraide

Question de l’élève

Secondaire 5 • 2a

Bonjour,

J'ai déjà posé une question à ce sujet il y a quelques jours, j’ai reçu une réponse mais celle ci ne m’a pas vraiment aidé:( Je dois trouver le déplacement total entre le point de départ (0,0) et le point d’arrivée. Merci!

image.jpg
image.jpg


Mathématiques
avatar
avatar

{t c="richEditor.description.title"} {t c="richEditor.description.paragraphMenu"} {t c="richEditor.description.inlineMenu"} {t c="richEditor.description.embed"}

Explications (2)

  • Options
    2a
    image.png


  • Explication d'Alloprof

    Explication d'Alloprof

    Cette explication a été donnée par un membre de l'équipe d'Alloprof.

    Options
    Équipe Alloprof • 2a

    Salut!


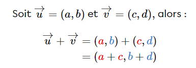
    Pour trouver le vecteur résultant (qui représente le déplacement du point d'origine au point d'arrivée, et non la distance totale parcourue), tu dois additionner tous les vecteurs. Tu devras donc trouver les composantes x et y de chaque vecteur pour pouvoir les additionner :

    image.png
    image.png


    On te donne déjà les composantes des vecteurs u et v, tu dois donc trouver celles des vecteurs w et p.

    Pour le vecteur w, tu peux trouver les composantes en utilisant le théorème de Pythagore et la norme donnée, ainsi que le fait que v et w sont orthogonaux, donc :

    image.png


    Pour le vecteur p, tu dois utiliser le théorème de Pythagore.


    Je te laisse essayer avec ces indices. Si tu as d'autres questions, n'hésite pas à nous réécrire! :)

Poser une question