Skip to content

Zone d’entraide

Question de l’élève

Secondaire 4 • 2a

Bonjour,

Dans la regle pour le taux de variations, j'aimerais qu'on m'aide à comment on détermine le (x1,y1) et (×2,y2) avec l'aide du graphique

1693958044102972062574150192498.jpg


Mathématiques
avatar
avatar

{t c="richEditor.description.title"} {t c="richEditor.description.paragraphMenu"} {t c="richEditor.description.inlineMenu"} {t c="richEditor.description.embed"}

Explications (2)

  • Explication d'Alloprof

    Explication d'Alloprof

    Cette explication a été donnée par un membre de l'équipe d'Alloprof.

    Options
    Équipe Alloprof • 2a September 2023 modifié

    Salut!


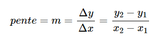
    Dans la formule permettant de calculer la pente :

    image.png

    (x1, y1) et (x2, y2) représentent des points quelconques de la droite.


    Dans ton exercice, on te donne les points (-20, 15) et (16, -9) :

    image.png


    Il ne te reste plus qu'à insérer ces coordonnées dans la formule pour pouvoir déterminer la pente de cette droite :

    $$ pente = \frac{15--9}{-20-16} ~ou~ \frac{-9-15}{16--20}$$


    Je te laisse terminer le calcul. Si tu as d'autres questions, n'hésite pas à nous réécrire! :)

  • Options
    Secondaire 4 • 2a

    Pour trouver le taux de variation (m ou a) = y2-y1 / x2-x1

    Tu peux les identifier comme tu veux, tant que tu utilise le même indice.

    Ex:

    (-20,15) = x1 et y1

    (16, -9) = x2 et y2

    OU

    (-20,15) = x2 et y2

    (16, -9) = x1 et y1

    MAIS TU NE PEUX PAS ÉCRIRE ÇA:

    -20 = x1 et 15 = y2

    16= x2 et -9 = y1

    Pour le même couple, le même indice

Poser une question