Secondaire 5 • 2a
bonsoir, savez-vous comment trouver la distance focale d'une lentille convergente svp en labo avec un banc d'optique, un objet et un écran svp merci
bonsoir, savez-vous comment trouver la distance focale d'une lentille convergente svp en labo avec un banc d'optique, un objet et un écran svp merci
Explication d'Alloprof
Cette explication a été donnée par un membre de l'équipe d'Alloprof.
Salut :D
Voici une proposition de protocole.
1) Place la lentille convergente sur le banc d'optique.
2) Positionne l'objet du côté opposé à la lentille.
3) Déplace l'objet le long de l'axe principal du banc d'optique.
4) Fais en sorte que l'image de l'objet soit projetée sur l'écran. Tu pourras voir une image nette en ajustant la position de l'objet.
5) Mesure la distance entre l'objet et la lentille (la distance objet-lentille, notée do).
6) Mesure également la distance entre l'écran et la lentille (la distance écran-lentille, notée di).
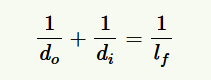
7) Utilise la formule de la lentille pour calculer la distance focale (f).
Ce contenu est protégé par le droit d'auteur. Toute reproduction à l'extérieur des forums Alloprof est interdite et pourra être considérée comme une violation du droit d'auteur.
8) Remplace les valeurs mesurées dans la formule pour obtenir la distance focale.
Pour plus d'exemples et de formules, c'est par ici.
Bon laboratoire :) À ta prochaine question :D
Bonjour Kamino !
Pour estimer la distance focale d'une lentille mince convergente, on utilise un banc d'optique sur lequel on déplace la lentille et un écran afin d'avoir une image nette d'un objet éclairé par une lampe. La distance focale se trouve expérimentalement en utilisant la relation de conjugaison.
La distance focale se trouve expérimentalement en utilisant la relation de conjugaison.
Suggestions en lien avec la question
Suggestion en lien avec la question
Voici ce qui a été trouvé automatiquement sur le site, en espérant que ça t’aide!