Secondaire 4 • 1a
Bonjour, j’ai une question
Si la masse molaire du soufre c’est 32,07g/mol.
Comment on fait pour savoir la masse de 5,00 mol de soufre??
Bonjour, j’ai une question
Si la masse molaire du soufre c’est 32,07g/mol.
Comment on fait pour savoir la masse de 5,00 mol de soufre??
Salut !
Il te faut utiliser la formule de la masse molaire et un peu de connaissance en manipulation d'équation.
$$ M=\frac{m}{n} $$
Et tu cherches le nombre de mole n.
$$ M\cdot n=\frac{m}{n}\cdot n $$
$$ M\cdot n=m $$
Il ne te reste plus qu'à calculer à l'aide des données que tu as déjà !
J'espère que cela ait pu t'aider et si tu as d'autres questions, n'hésite pas !
Bonne soirée !
Explication d'Alloprof
Cette explication a été donnée par un membre de l'équipe d'Alloprof.
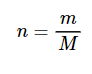
Salut!
Tu dois utiliser la formule suivante :
Ce contenu est protégé par le droit d'auteur. Toute reproduction à l'extérieur des forums Alloprof est interdite et pourra être considérée comme une violation du droit d'auteur.
où
Ce contenu est protégé par le droit d'auteur. Toute reproduction à l'extérieur des forums Alloprof est interdite et pourra être considérée comme une violation du droit d'auteur.
Je te laisse essayer avec cet indice. Si tu as d'autres questions, n'hésite pas à nous réécrire! :)
Suggestions en lien avec la question
Suggestion en lien avec la question
Voici ce qui a été trouvé automatiquement sur le site, en espérant que ça t’aide!