Secondaire 4 • 1a
je ne comprends pas comment effectuer la formule de Héron pouvez vous m'expliquer ce quelle signifie
je ne comprends pas comment effectuer la formule de Héron pouvez vous m'expliquer ce quelle signifie
Explication vérifiée par Alloprof
Cette explication a été vérifiée par un membre de l’équipe d’Alloprof.
Bonjour ElfeCocasse2350 :)
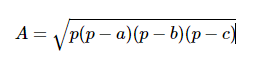
La formule de Héron sert à calculer l'aire d'un triangle quelconque duquel nous connaissons les mesures de ses 3 côtés.
Voici la formule :
Ce contenu est protégé par le droit d'auteur. Toute reproduction à l'extérieur des forums Alloprof est interdite et pourra être considérée comme une violation du droit d'auteur.
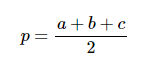
Où a, b et c représentent les mesures de chacun des côtés du triangle quelconque, et où p représente le demi-périmètre de ce même triangle.
Pour trouver le demi-périmètre, c'est tout simple, tu additionne les mesures des 3 côtés et tu divise le résultat obtenu par 2 :
Ce contenu est protégé par le droit d'auteur. Toute reproduction à l'extérieur des forums Alloprof est interdite et pourra être considérée comme une violation du droit d'auteur.
Voici la fiche d'Alloprof portant sur la formule de Héron, il y a également une vidéo sur le sujet :https://www.alloprof.qc.ca/fr/eleves/bv/mathematiques/l-aire-des-triangles-a-l-aide-de-la-formule-de-h-m1295
Bonne étude et n'hésite pas à poser toutes tes autres questions si tu as besoin de plus d'explications ou si tu as besoin d'aide avec un devoir, la zone d'entraide est à 100% là pour ça ! ;)
RenardPhilosophe6743 🍀
Suggestions en lien avec la question
Suggestion en lien avec la question
Voici ce qui a été trouvé automatiquement sur le site, en espérant que ça t’aide!