Skip to content

Zone d’entraide

Question de l’élève

Secondaire 4 • 4a

bonjour,

comment je peux savoir si je vais utiliser sin ou sin-1?

et comment utiliser sin-1?

merci

Mathématiques
avatar
avatar

{t c="richEditor.description.title"} {t c="richEditor.description.paragraphMenu"} {t c="richEditor.description.inlineMenu"} {t c="richEditor.description.embed"}

Explications (1)

  • Explication d'Alloprof

    Explication d'Alloprof

    Cette explication a été donnée par un membre de l'équipe d'Alloprof.

    Options
    Équipe Alloprof • 4a September 2025 modifié

    Salut OliveOrange9027 :D

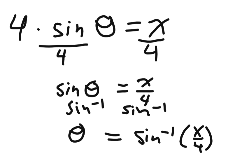
    Sin-1 est en fait la fonction inverse de sin, nommée arcsin (sin-1 = arcsin).

    On s'en sert souvent pour isoler un angle lors d'un calcul.

    Ex. :

    image.png

    Comme la division est la fonction inverse de la multiplication, sin-1 l'est pour la fonction sinus.

    Cependant, fais attention d'utiliser arcsin (angle), car l'écriture sin-1 (angle) est critiquée.

    Consulte cette fiche pour en apprendre plus.

    Bonne révision :D

Poser une question