Secondaire 3 • 5a
Comment on applique le theoreme de Pythagore? Par example dans ce problème: Soit un triangle ABC rectangle en A et tel que AB = 15 cm et BC = 18,75 cm. On veut calculer la mesure exacte de la distance AC.
Salut voici une explication simplifiée de Pythagore.
Il y a 2 formule que tu peux appliquer mais je vais te montrer celle que j'ai apprise:
C ^ 2 = a ^ 2 + b ^ 2
Tu as déjà la mesure a et b ce qui rend la tâche plus simple. Comme expliqué dans la formule tu va convertir tes segments a et b au carré ( à la 2). Lorsque c'est fait tu vas additionner tes segments puis tu va mettre le résultat à la racine carré. Ainsi tu va avoir ton segment c. Je te donne un exemple:
Voici les mesures d'un triangle rectangle au segment AC:
A = 16 cm
B = 63 cm
C = ?
C^2 = A^2 + B^2
C^2 = 16^2 + 63^2
C^2 = 256 + 3 969
C^2 = √4 225
C = 65 cm
Bonne fin de journée.
Explication d'Alloprof
Cette explication a été donnée par un membre de l'équipe d'Alloprof.
Bonjour 😊 !
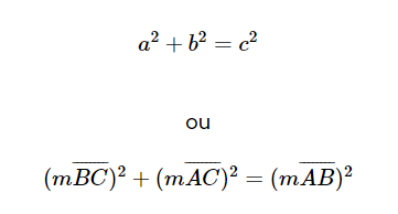
Le théorème de Pythagore permet de calculer une longueur manquante dans un triangle rectangle. Il met en relations les longueurs des côtés du triangle.
Pour appliquer ce théorème, le triangle en question doit être un triangle rectangle qui signifie qu'il a un angle droit de 90° et que le carré de son hypoténuse (opposé à l'angle droit) est égal à la somme des carrés des deux autres côtés.
On utilise cette formule:
Ce contenu est protégé par le droit d'auteur. Toute reproduction à l'extérieur des forums Alloprof est interdite et pourra être considérée comme une violation du droit d'auteur.
Ce contenu est protégé par le droit d'auteur. Toute reproduction à l'extérieur des forums Alloprof est interdite et pourra être considérée comme une violation du droit d'auteur.
Le triangle ABC est formé de son hypoténuse (c ou AB) et de ses deux autres côtés.
En utilisant cette formule, tu pourras trouver n'importe quel côté manquant du triangle.
Exemple:
Ce contenu est protégé par le droit d'auteur. Toute reproduction à l'extérieur des forums Alloprof est interdite et pourra être considérée comme une violation du droit d'auteur.
Je t'encourage à jeter un coup d'œil à ce lien:
Au plaisir de t'aider dans le futur!
Laura
Suggestions en lien avec la question
Suggestion en lien avec la question
Voici ce qui a été trouvé automatiquement sur le site, en espérant que ça t’aide!