Ce contenu est protégé par le droit d'auteur. Toute reproduction à l'extérieur des forums Alloprof est interdite et pourra être considérée comme une violation du droit d'auteur.
En secondaire 4 on ne fait pas encore de dérivées alors je pense que tu dois déduire l'équation de la tangente par la géométrie.
Il est donc important de bien tracer la parabole (très précisément soit avec un logiciel ou avec plusieurs points entre 0 et 2) et avec une règle placer la tangente au point (2,4)
et évaluer sa pente puis le k
Ce contenu est protégé par le droit d'auteur. Toute reproduction à l'extérieur des forums Alloprof est interdite et pourra être considérée comme une violation du droit d'auteur.
0
Explication d'Alloprof
Explication d'Alloprof
Cette explication a été donnée par un membre de l'équipe d'Alloprof.
Cet exercice n'est pas de niveau secondaire, il se peut donc que tu aies un peu de difficulté à le résoudre.
La tangente à une courbe en un de ses points est une droite qui « touche » la courbe à ce point là. Voici une animation qui pourrait t'aider à mieux comprendre : Tangente Animation - YouTube
Pour trouver la pente d'une tangente à un point, il suffit de calculer la dérivée de la règle de la fonction.
Le résultat est une fonction, notée f'(x), qui donne la pente de la tangente de la fonction à un certain point x. Par exemple, à x=1, la pente de la tangente est f'(1)=2(1)=2.
Ainsi, il ne te reste plus qu'à calculer f'(2), donc remplacer x par 2 dans notre règle f'(x) afin de trouver la pente de la tangente au point (2, 4).
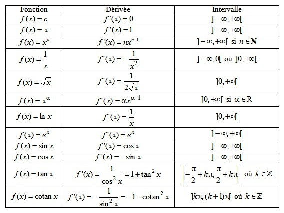
Maintenant, tu dois surement te demander, comment a-t-on trouvé la dérivée de f(x)=x² ! Pour trouver la dérivée d'une expression, on utilise ces règles :
Ce contenu est protégé par le droit d'auteur. Toute reproduction à l'extérieur des forums Alloprof est interdite et pourra être considérée comme une violation du droit d'auteur.
Ainsi, selon la 3e règle de ce tableau, on obtient \(f'(x)=2x^{2-1}=2x\).
Voici des vidéos sur le sujet qui pourrait t'intéresser :
Comme mentionné, la notion de dérivée sera abordée au cégep uniquement, donc ne t'inquiète pas si cela reste encore un peu flou pour toi, si tu as compris une toute petite partie c'est déjà très bien! ;)
J'espère que c'est plus clair pour toi! Si tu as d'autres questions, n'hésite pas à nous réécrire! :)
0
Suggestions en lien avec la question
Suggestion en lien avec la question
Voici ce qui a été trouvé automatiquement sur le site, en espérant que ça t’aide!
En secondaire 4 on ne fait pas encore de dérivées alors je pense que tu dois déduire l'équation de la tangente par la géométrie.
Il est donc important de bien tracer la parabole (très précisément soit avec un logiciel ou avec plusieurs points entre 0 et 2) et avec une règle placer la tangente au point (2,4)
et évaluer sa pente puis le k
Ce contenu est protégé par le droit d'auteur. Toute reproduction à l'extérieur des forums Alloprof est interdite et pourra être considérée comme une violation du droit d'auteur.
Explication d'Alloprof
Cette explication a été donnée par un membre de l'équipe d'Alloprof.
Salut!
Cet exercice n'est pas de niveau secondaire, il se peut donc que tu aies un peu de difficulté à le résoudre.
La tangente à une courbe en un de ses points est une droite qui « touche » la courbe à ce point là. Voici une animation qui pourrait t'aider à mieux comprendre : Tangente Animation - YouTube
Pour trouver la pente d'une tangente à un point, il suffit de calculer la dérivée de la règle de la fonction.
$$ f(x)=x^2$$
$$f'(x)= \frac{d}{dx} f(x) =\frac{d}{dx}(x^2) = 2x$$
Le résultat est une fonction, notée f'(x), qui donne la pente de la tangente de la fonction à un certain point x. Par exemple, à x=1, la pente de la tangente est f'(1)=2(1)=2.
Ainsi, il ne te reste plus qu'à calculer f'(2), donc remplacer x par 2 dans notre règle f'(x) afin de trouver la pente de la tangente au point (2, 4).
Une fois que tu as la pente de la droite, tu peux utiliser le point (2, 4) pour trouver l'ordonnée à l'origine (le paramètre b dans la règle y=ax+b). Consulte cette fiche au besoin : Trouver la règle d'une fonction affine | Secondaire | Alloprof
Maintenant, tu dois surement te demander, comment a-t-on trouvé la dérivée de f(x)=x² ! Pour trouver la dérivée d'une expression, on utilise ces règles :
Ce contenu est protégé par le droit d'auteur. Toute reproduction à l'extérieur des forums Alloprof est interdite et pourra être considérée comme une violation du droit d'auteur.
Ainsi, selon la 3e règle de ce tableau, on obtient \(f'(x)=2x^{2-1}=2x\).
Voici des vidéos sur le sujet qui pourrait t'intéresser :
Comme mentionné, la notion de dérivée sera abordée au cégep uniquement, donc ne t'inquiète pas si cela reste encore un peu flou pour toi, si tu as compris une toute petite partie c'est déjà très bien! ;)
J'espère que c'est plus clair pour toi! Si tu as d'autres questions, n'hésite pas à nous réécrire! :)
Suggestions en lien avec la question
Suggestion en lien avec la question
Voici ce qui a été trouvé automatiquement sur le site, en espérant que ça t’aide!