Secondaire 5 • 1a
Bonjour, je ne comprend pas comment trouver l'équation de l'ellipse suivant.
Merci d'avance!
Bonjour, je ne comprend pas comment trouver l'équation de l'ellipse suivant.
Merci d'avance!
Explication d'Alloprof
Cette explication a été donnée par un membre de l'équipe d'Alloprof.
Salut!
La somme des distances d'un point de l'ellipse horizontale par rapport à chacun des foyers est de \(2a\).
$$dist(P, F_{1}) + dist(P, F_{2}) = 2a$$
Ce contenu est protégé par le droit d'auteur. Toute reproduction à l'extérieur des forums Alloprof est interdite et pourra être considérée comme une violation du droit d'auteur.
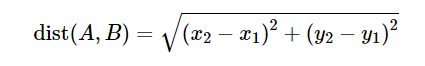
Ainsi, tu peux trouver la valeur du paramètre \(a\) en calculant la distance entre le point (8,7 ; 8,4) et chacun des foyers
Ce contenu est protégé par le droit d'auteur. Toute reproduction à l'extérieur des forums Alloprof est interdite et pourra être considérée comme une violation du droit d'auteur.
Ce contenu est protégé par le droit d'auteur. Toute reproduction à l'extérieur des forums Alloprof est interdite et pourra être considérée comme une violation du droit d'auteur.
L'équation de l'ellipse est la suivante :
Ce contenu est protégé par le droit d'auteur. Toute reproduction à l'extérieur des forums Alloprof est interdite et pourra être considérée comme une violation du droit d'auteur.
On connait le point (8,7 ; 8,4). En l'insérant dans notre équation, on obtient :
$$\frac{8,7^2}{a^2}+\frac{8,4^2}{b^2}=1$$
Une fois que tu trouves la valeur du paramètre \(a\), tu pourras l'insérer dans cette équation, puis la résoudre pour trouver \(b\).
J'espère que c'est plus clair pour toi! :)
Suggestions en lien avec la question
Suggestion en lien avec la question
Voici ce qui a été trouvé automatiquement sur le site, en espérant que ça t’aide!