Le pH est une manière d'exprimer la concentration en ions H+ dans une solution aqueuse. Cette échelle permet d'exprimer de faible valeur de concentration de manière plus pratique. Ainsi, les mesures du pH correspondent à différentes valeurs de concentrations en ions H+.
Ce contenu est protégé par le droit d'auteur. Toute reproduction à l'extérieur des forums Alloprof est interdite et pourra être considérée comme une violation du droit d'auteur.
Voici la formule :
Ce contenu est protégé par le droit d'auteur. Toute reproduction à l'extérieur des forums Alloprof est interdite et pourra être considérée comme une violation du droit d'auteur.
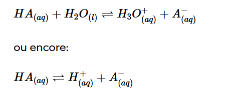
Pour ce qui est de la constante d'acidité, la plupart des acides sont des acides faibles qui peuvent atteindre l'état d'équilibre en solution aqueuse. À l'équilibre, les molécules de l'acide se dissocient à la même vitesse que les ions formés se recombinent pour reformer les molécules de l'acide. On peut généraliser cette réaction de la façon suivante.
Ce contenu est protégé par le droit d'auteur. Toute reproduction à l'extérieur des forums Alloprof est interdite et pourra être considérée comme une violation du droit d'auteur.
Il y a également une formule pour mettre en lien la concentration en ions H+ et la constante d'acidité.
Ce contenu est protégé par le droit d'auteur. Toute reproduction à l'extérieur des forums Alloprof est interdite et pourra être considérée comme une violation du droit d'auteur.
N'hésite pas si tu as d'autres questions 😊 À bientôt 😎
0
Suggestions en lien avec la question
Suggestion en lien avec la question
Voici ce qui a été trouvé automatiquement sur le site, en espérant que ça t’aide!
Explication d'Alloprof
Cette explication a été donnée par un membre de l'équipe d'Alloprof.
Salut CitronJaune6140 😁
Merci pour ta question!
Tout à fait! Il y a un lien très fort.
Le pH est une manière d'exprimer la concentration en ions H+ dans une solution aqueuse. Cette échelle permet d'exprimer de faible valeur de concentration de manière plus pratique. Ainsi, les mesures du pH correspondent à différentes valeurs de concentrations en ions H+.
Ce contenu est protégé par le droit d'auteur. Toute reproduction à l'extérieur des forums Alloprof est interdite et pourra être considérée comme une violation du droit d'auteur.
Voici la formule :
Ce contenu est protégé par le droit d'auteur. Toute reproduction à l'extérieur des forums Alloprof est interdite et pourra être considérée comme une violation du droit d'auteur.
Pour ce qui est de la constante d'acidité, la plupart des acides sont des acides faibles qui peuvent atteindre l'état d'équilibre en solution aqueuse. À l'équilibre, les molécules de l'acide se dissocient à la même vitesse que les ions formés se recombinent pour reformer les molécules de l'acide. On peut généraliser cette réaction de la façon suivante.
Ce contenu est protégé par le droit d'auteur. Toute reproduction à l'extérieur des forums Alloprof est interdite et pourra être considérée comme une violation du droit d'auteur.
Il y a également une formule pour mettre en lien la concentration en ions H+ et la constante d'acidité.
Ce contenu est protégé par le droit d'auteur. Toute reproduction à l'extérieur des forums Alloprof est interdite et pourra être considérée comme une violation du droit d'auteur.
N'hésite pas si tu as d'autres questions 😊 À bientôt 😎
Suggestions en lien avec la question
Suggestion en lien avec la question
Voici ce qui a été trouvé automatiquement sur le site, en espérant que ça t’aide!