Je ses pas comment faire cette question pouvez vous m’aider svp!
Ce contenu est protégé par le droit d'auteur. Toute reproduction à l'extérieur des forums Alloprof est interdite et pourra être considérée comme une violation du droit d'auteur.
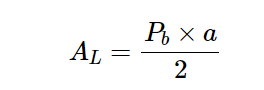
Comme il s'agit d'un tétraèdre, tous les triangles sont pareils alors tous les côtés et les hauteurs mesurent la même chose!
Tu dois donc additionner l'aire de la base avec l'aire latérale qui se définit comme ceci.
Ce contenu est protégé par le droit d'auteur. Toute reproduction à l'extérieur des forums Alloprof est interdite et pourra être considérée comme une violation du droit d'auteur.
J'espère t'avoir aidé, n'hésite pas si tu as d'autres questions!
Lea-Kim
0
Suggestions en lien avec la question
Suggestion en lien avec la question
Voici ce qui a été trouvé automatiquement sur le site, en espérant que ça t’aide!
Salut CrocodileAlpha9473!
Pour calculer l'aire totale d'une pyramide il faut utiliser la formule suivante:
AT = Al + Ab
(Aire totale = aire latérale + aire de la base)
AT = (Pb ⁎ Ap)/2 + (b⁎h)/2
(Aire totale = [Périmètre de la base ⁎ apothème de la pyramide]/2 + [base ⁎ hauteur]/2
(Dans ton exercice ton apothème est le segment de 83 mm)
Voici la chaine d'opération qu'il te faudra résoudre pour trouver l'aire totale de cette pyramide:
AT = Al + Ab
AT = (Pb ⁎ Ap)/2 + (b⁎h)/2
AT = (96 ⁎ 3 ⁎ 83)/2 + (96 ⁎ 83)/2
OnyxSupra
Explication d'un(e) pro de la Zone d'entraide
Tu peux faire confiance à cette explication, car elle est donnée par une personne identifiée comme étant fiable par Alloprof.
Bonsoir CrocodileAlpha9473!
Merci d'avoir utilisé la plateforme Alloprof pour poser votre question!
Voici une fiche qui devrait t'aider à comprendre davantage sur l'aire des solides.
L'aire des pyramides | Secondaire | Alloprof
N'hésite pas à poser d'autres questions si tu le desires.
Bonne continuation et bonne soirée!
DragonHonorable1402
Explication d'Alloprof
Cette explication a été donnée par un membre de l'équipe d'Alloprof.
Allo CrocodileAlpha9473,
Merci pour ta question!
Comme il s'agit d'un tétraèdre, tous les triangles sont pareils alors tous les côtés et les hauteurs mesurent la même chose!
Tu dois donc additionner l'aire de la base avec l'aire latérale qui se définit comme ceci.
Ce contenu est protégé par le droit d'auteur. Toute reproduction à l'extérieur des forums Alloprof est interdite et pourra être considérée comme une violation du droit d'auteur.
J'espère t'avoir aidé, n'hésite pas si tu as d'autres questions!
Lea-Kim
Suggestions en lien avec la question
Suggestion en lien avec la question
Voici ce qui a été trouvé automatiquement sur le site, en espérant que ça t’aide!