Best Of
Re: Question
oui merci de prendre le temps de nous aider depuis que je vous ai decouvert dans mes travaux je vois de tres bon progres et en math jai de difficulter merci et milliard de merci tres sastifaite
Re: Question
Tu dois avoir le nombre d'élève pour pouvoir répondre à cette question :
6 x nombre d'élève = la réponse
Re: Question
Salut !
Merci de faire appel au service d'Alloprof ! L'exercice indique que chaque élève a fait 6 exercices. Si tu connais le nombre d'élève, tu peux calculer le nombre total d'exercice en multipliant :
$$ 6\times\text{Nombre d'élève}=\text{Nombre d'exercices total} $$
J'espère que cela ait pu t'aider et si tu as d'autres questions, n'hésite pas !
Bonne journée !
Re: Question
Bonjour!
La formule pour trouver le volume d'un prisme à base rectangulaire est :
$$V=Lxlxh$$
L = longueur
l = largeur
h = hauteur
v = volume
Pour le moment, nous avons ceci :
$$9=3x2xh$$
Il faut donc isoler la variable manquante, soit la hauteur.
$$h=9/(3x2)$$
En effectuant ce calcul, tu trouveras la réponse! :D
Cependant, cette technique est uniquement vue au secondaire. Si tu es toujours au primaire, c'est normal que ce soit complexe.
Il est possible que ton enseignant te demande de trouver la réponse à l'aide de la technique essai-erreur. Dans ce cas, tu dois essayer de remplacer la hauteur dans la formule jusqu'à ce que la réponse te donne le volume que tu recherches, soit 9 décimètres cubes. :D
Si tu as d'autres questions, n'hésite pas à nous réécrire. Nous te répondrons avec plaisir!
Laurie :)
Re: Question
Bonjour!
Un concept, c'est une notion plus large, une idée générale. Un mot-clé, c'est un élément plus précis qui peut être contenu dans un concept.
Prenons par exemple le concept de la famille. Certains mots-clés liés à ce concept pourraient être « monoparentale », « soeur », « nucléaire », etc.
Évidemment, certains mots-clés peuvent aussi être des concepts en soi. Un mot n'appartient pas soit à l'un ou l'autre, ce ne sont pas des catégories exhaustives. Selon ce que l'on étudie, un concept peut aussi être un mot-clé et inversement.
Si tu as d'autres questions, n'hésite pas à nous réécrire. Nous te répondrons avec plaisir!
Laurie :)
Re: Question
Salut!
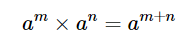
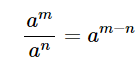
Tu dois utiliser les lois des exposants.
Si tu multiplies les mêmes bases, tu peux additionner leur exposant :
Tandis que si tu divises les mêmes bases, tu peux soustraire leur exposant :
J'espère que c'est plus clair pour toi! :)
Re: Question
Bonjour DiamantCalme! :)
Wow!! Félicitations! :D
C'est un grand bonheur de pouvoir accompagner les élèves du Québec dans leur parcours scolaire! C'est grâce à vous, les élèves, que tout cela est possible! :)
N'hésite pas à nous réécrire lorsque tu as des questions! Nous t'aiderons avec plaisir! :)
Marilee
Re: Question
Bonjour!
Toute forme de révision peut t'aider à te préparer à l'examen ministériel!
Toutefois, afin de bien te préparer, je te suggère d'utiliser plusieurs techniques. Tu peux aussi utiliser certaines des trucs d'étude proposés dans la fiche ci-dessous :
Je te suggère aussi de lire la section « Pour mieux étudier » de la fiche ci-dessous :
Si tu as d'autres questions, n'hésite pas à nous réécrire. Nous te répondrons avec plaisir!
Laurie :)
Re: Question
Bonjour!
Nous serons heureux de t'aider!
Quels genre de trucs cherches-tu? Qu'est-ce qui te donne de a difficulté? Est-ce la structure du texte, les erreurs de français ou autre?
Je te suggère de nous réécrire en nous précisant ce avec quoi nous pouvons t'aider.
En attendant, voici une fiche qui explique différents aspects du texte descriptif! :D
Si tu as d'autres questions, n'hésite pas à nous réécrire. Nous te répondrons avec plaisir!
Laurie :)
Re: Question
Bonjour!
Je ne suis pas certaine de comprendre ta question. Dois-tu écrire un texte ayant comme sujet un article de presse?
Je t'invite à nous réécrire en nous précisant la tâche que tu dois accomplir. Cela nous aidera à te répondre! :)
Laurie :)


