Best Of
Re: Question
Charles 3 est roi du royaume uni et de 14 autres royaumes du Commonwealth. Charles est né sous le règne de son grand-père maternel, le roi George VI, et est devenu héritier présomptif lors de l'accession au trône de sa mère, la reine Élisabeth II, en 1952.
Re: Question
Coucou CobraRose1773 !
Merci d'utiliser la zone d'entraide. :)
Le Roi Charles III est le roi de la monarchie Britannique. Il est donc également Roi de 14 autres royaumes du Commonwealth.
Tu peux en savoir plus en lisant ceci :
N'hésite pas à repasser nous voir si tu as d'autres questions ! :)
Angélique
Question
J'ai oublié comment arrondir les nombres à la centaine dizaine, unité, centaine de mille, dizaine de mille, unité de mille. HELP😭😭
Re: Question
Salut!
Voici un résumé des étapes à suivre :
Prenons un exemple pour mieux comprendre. Divisons −3x²+2x³+4x−5 par x−2.
Étape 1 : Il faut s'assurer que les termes sont écrits en ordre décroissant de puissances de x. Nous devons donc réorganiser notre polynôme comme ceci, car 2x³ doit être devant −3x² :
$$2x³−3x²+4x−5 $$
On place le diviseur (x-2) dans le crochet, et le polynôme à gauche.
$$\frac{2x^3 - 3x^2 + 4x - 5}{x - 2}$$
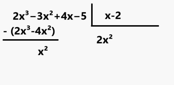
Étape 2 : Il faut prendre le premier terme du dividende (2x³) et il faut le diviser par le premier terme du diviseur (x). Cela donne 2x².
Étape 3 : Tu dois ensuite inscrire ce résultat en dessous du crochet.
Étape 4 : Tu dois multiplier 2x² par x−2 :
$$2x²(x−2)=2x³−4x²$$
Étape 5 : Tu dois soustraire le résultat de cette multiplication du dividende :
Étape 6 : Il faut maintenant descendre les termes du dividende pour qu'ils soient à la même hauteur que le résultat de la soustraction :
Étape 7 : On répète les étapes 2 à 6 :
On divise x² par x, ce qui nous donne x :
On multiplie x par (x-2), ce qui nous donne (x²-2x), et on soustrait cela de notre dividende x²+4x-5, ce qui nous donne 6x :
On descend le terme -5 :
On recommence. On divise 6x par (x-2), ce qui nous donne 6 :
On multiplie 6 par (x-2), ce qui nous donne (6x-12), et on soustrait cela de 6x-5, ce qui nous donne 7 :
Le degré de notre dividende (7 est un terme de degré 0, car \(7x^0\)) est plus petit que le degré de notre diviseur (x-2 est de degré 1). On peut donc s'arrêter.
Étape 8 : On a un reste. Nous allons donc inscrire ce reste au numérateur d'une fraction, et notre diviseur au dénominateur :
$$ \frac{7}{x-2}$$
Notre résultat final est donc ;
$$2x^2+x+6+\frac{7}{x-2}$$
Voilà! Cela peut paraître un peu long et compliqué au début, mais crois-moi, tu trouveras cela très facile à force de te pratiquer! :)
Tu peux également consulter cette fiche, elle récapitule toute la démarche à suivre et fournit plusieurs exemples similaires : La division d'une expression algébrique par un binôme | Secondaire | Alloprof
J'espère que cela t'aide! Si tu as d'autres questions, n'hésite pas à nous réécrire! :)
Re: Question
Salut WapitiSuperbe1010 !
Merci d'utiliser la zone d'entraide. :)
Voici un tableau de conjugaison du verbe être :
Voici où tu peux le trouver :
Si tu veux conjuguer d'autres verbes dans d'autres temps, tu peux utiliser cette application d'Alloprof :
N'hésite pas à repasser si tu as d'autres questions. :)
Bon succès à ton examen !
Angélique












