Best Of
Re: Question
Salut PerlePacifique5682😁
Désolée pour cet inconvénient! 🥴
Quelle est ta question? Peux-tu la reposer s'il te plait? 😊
À tout de suite 😎
Re: Question
Bonjour,
Tu trouveras ici tous nos exercices sur les inéquations :
Bonne journée :)
Re: Question
Bonjour! :) Quelle bonne idée!
Nous n'en avons pas encore malheureusement, alors je t'invite à faire ta suggestion à notre équipe de production de contenu! Pour faire cela, tu n'as qu'à remplir le formulaire suivant:
Merci beaucoup pour ta collaboration! C'est super! ☺
Sarah G
Re: Question
Bonjour Sweetcrocodile!
Il existe 4 niveaux/registres de langue : la langue populaire, la langue familière, la langue standard, la langue soutenue/littéraire.
La langue populaire
La langue populaire accepte à peu près tout ce que la langue standard n'accepte pas (anglicisme, termes vulgaires, termes impropres, contractions, verbes mal conjugués, etc.). Il est déconseillé d'utiliser ce registre de langue dans des situations de communication formelles.
Exemple de langue populaire :
- Ça c'est son chum.
- Est vraiment laite elle.
- Viens icitte, check ça!
La langue familière
La langue familière est plus souvent utilisée à l'oral et respecte généralement les règles de la langue française, mais elle se permet des écarts qui ne sont pas permis dans le niveau de langue standard. Il s'agit de la langue orale qu'on utilise dans la vie de tous les jours.
Exemple de langue familière:
- J'ai pas fini de manger (Au lieu de "Je n'ai pas fini de manger").
- J'sais que c'est toi qui l'a trouvé. (Au lieu de "Je sais que c'est toi qui l'a trouvé).
- On a jasé pendant un boute. (Au lieu de "Nous avons bavardé pendant un moment").
La langue standard
La langue standard est la langue que nous devrions utiliser à l'écrit quand on accorde une certaine importance à ce que l'on écrit. Par exemple, une lettre à un enseignant, un devoir, un courriel, etc. La langue standard respecte les règles de grammaire de la langue française. On l'utilise, entre autres, lorsqu'on s'adresse à un large public.
Exemple de langue standard:
- Je me suis levée tôt pour aller travailler.
- Je n'ai pas très faim.
- Il a regardé le tableau pendant plusieurs minutes.
La langue soutenue/littéraire
La langue soutenue ou littéraire est un raffinement de la langue standard. On la reconnaît dans l'utilisation d'un vocabulaire plus riche, de structures de phrases plus complexes, de figures de style plus élaborées et dans l’utilisation de modes et de temps de verbes qui sont normalement peu employés. La langue soutenue est plus utilisée à l'écrit, comme dans les romans et la poésie.
Exemple de langue soutenue :
1 - Nous passâmes sous le pont.
2 - Nous regardâmes la fleur, qui avait succombé à l'outrage du temps, alors qu'hier ses pétales provoquaient l'exaltation des plus simples paysans.
Voici un site qui pourrait t'aider. Je t'invite à le lire, il donne plusieurs exemples très intéressants.
J'espère avoir pu t'aider. Si tu as d'autres questions, n'hésite pas à nous réécrire!
Laurie :)
Re: Question
Bonjour GalliminusAlerte,
Merci pour ta question!
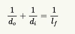
Tout d'abord, je t'invite à toujours essayer de poser tes variables en premier lieu. Ici, nous avons:
lf = 3,20 m
ho = 3476 km
do = 384 000 km
hi = ?
Grâce à cette formule, tu pourras trouver di.
Ensuite, grâce à cette formule, tu pourras trouver G grâce à di et do, puis trouver hi grâce à G et ho.
N'hésite pas si tu as encore besoin d'aide:)
Kylan
Re: Question
Bonjour GalliminusAlerte,
Merci pour ta question!
Je t'invite à d'abord poser tes variables et, à partir de ces variables, déterminer quelle(s) formule(s) parmi celles-ci pourra ou pourront t'aider à résoudre le problème.
Tu peux te baser sur la démarche que je t'ai envoyé pour ta précédente question.
Bonne journée:)
Kylan
Re: Question
Salut !
Tu peux compléter le tableau à l'aide des indices qu'on te donne. Tu peux commencer par la partie droite du tableau où on t'indique les sauts de valeurs entre différents mois pour le profit.
Ainsi, tu peux trouver le profit de juillet en additionnant 2680 à 4000. Tu peux ensuite trouver les revenus ou les dépenses à l'aide des deux valeurs que tu as à ta disposition en fonction du mois. Tu peux définir le profit comme suit.
$$ profit=revenus-dépenses $$
Ainsi, si tu as deux de ces valeurs, tu peux trouver la troisième. Je te laisse donc essayer avec ces indices.
J'espère que cela ait pu t'aider et si tu as d'autres questions, n'hésite pas !
Bonne soirée !
Re: Question
Bonjour,
Pour ce faire, sépare ta figure en plusieurs figures simples comme ceci :
Après, il ne te reste plus qu'à trouver et additionner chacune des aires.
Bonne journée
Re: Question
Salut AmandeAdorable5647 😁
Merci pour ta question!
Effectivement, on peut utiliser les tableaux à double entrée pour estimer une corrélation entre les 2 variables. Plus la corrélation est forte, plus les données se rassemblent autour d’une des diagonales du tableau à double entrée.
Pour plus d'exemples et de précisions, tu peux consulter cette fiche à la section L'appréciation qualitative selon un tableau à double entrée.
N'hésite pas si tu as d'autres questions 😊
À bientôt 😎




