Best Of
Re: Question
Salut !
Sachant le nombre de côtés du polygone régulier, le périmètre te permettra de trouver la valeur d'un des côtés :
En décomposant en triangles, tu peux trouver l'angle supérieur du triangle (angle au centre) et utiliser la trigonométrie pour trouver l'apothème.
Si tu as d'autres questions, n'hésite pas !
Re: Question
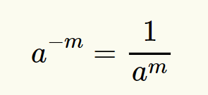
Salut!
Tu dois utiliser les lois des exposants, en particulier celles-ci :
Tu auras donc ceci :
$$ \frac{\sqrt{2x+1}}{2x+1}$$
$$ \frac{(2x+1)^{\frac{1}{2}}}{2x+1}$$
$$ (2x+1)^{\frac{1}{2}-1}$$
$$ (2x+1)^{-\frac{1}{2}}$$
On peut éliminer un exposant négatif en inversant le nombre.
Nous aurons alors :
$$ (2x+1)^{-\frac{1}{2}}$$
$$ \frac{1}{(2x+1)^{\frac{1}{2}}}$$
$$ \frac{1}{\sqrt{2x+1}}$$
Voilà! Si tu as d'autres questions, n'hésite pas à nous réécrire! :)
Re: Question
Salut !
Un arc de cercle est une portion de la circonférence.
Tu peux le calculer à l'aide de la circonférence et de l'angle de l'arc de cercle.
Si tu as d'autres questions, n'hésite pas !
Re: Question
Bonjour RobotTurbo,
Merci de faire appel à nos services! :)
Le texte descriptif, comme son nom l’indique, décrit un lieu, un évènement, un phénomène ou autres. D’une manière générale, il se retrouve sous la forme de :
- compte rendu,
- nouvelle journalistique et de fait divers,
- biographie,
- article de dictionnaire,
- etc.
Le texte explicatif s’appuie sur des faits et des recherches scientifiques. Il est très objectif et répond aux questions pourquoi? et comment? On le retrouve généralement dans des articles de :
- magazine,
- encyclopédie,
- manuel scolaire,
- etc.
Pour de plus amples informations, tu peux cliquer sur les mots en bleu ci-haut! :)
N'hésite pas à nous réécrire si tu as d'autres questions! :)
Marilee
Re: Question
Allo AraIntergalactique7546,
Merci pour ta question!
Le nombre de fois où l'on fait dodo par semaine varie entre chaque personne!
En moyenne, on dort 7 fois par semaine pour 7 nuits!
J'espère t'avoir aidé!
Lea-Kim
Re: Question
Bonjour LoupSupra,
Merci de faire appel à nos services! :)
Voici ce que notre fiche nous dit à ce sujet :
« En Égypte antique, c’est le pharaon qui était responsable de préserver la paix et l'ordre. Ses hauts fonctionnaires, les vizirs, avaient le rôle de juge. Ils écoutaient les plaintes et arbitraient les conflits. Les vizirs réglaient des cas relatifs aux crimes, mais aussi des conflits relatifs à la propriété, aux prêts non remboursés, aux différends entre voisins, etc.
Les condamnations avaient une répercussion sur le coupable, mais aussi sur toute sa famille. Ainsi, sa famille pouvait aussi être punie. Par exemple, si la punition était l’extradition du coupable (c'est-à-dire être chassé du royaume), toute sa famille devait partir. Si le fautif devait rembourser un prêt, la famille pouvait être condamnée à le faire à sa place si celui-ci en était incapable. »
Afin de déterminer à quel aspect ces informations peuvent être liées, je t'invite à consulter la fiche suivante. Les listes de mots clés devraient t'aider à trouver la réponse! :)
N'hésite pas à nous réécrire si tu as d'autres questions! :)
Marilee
Re: Question
Salut !
Le changement de vitesse est une variation entre la vitesse de rotation de l’organe menant et la vitesse de rotation de l’organe mené. Il est possible de déterminer le changement de vitesse selon le mécanisme de transmission du mouvement ou le couple de force impliqué.
Tu peux donc augmenter ou diminuer la vitesse en fonction du nombre de dents ou du diamètre. Si tu as d'autres questions, n'hésite pas !
Re: Question
Salut :D
Merci pour ta question. :)
Pourrais-tu nous fournir l'image qui accompagne ton exercice?
Cela nous aider à mieux comprendre ta question.
Pour un révision sur ce sujet, c'est par ici.
À tout de suite :)
Re: Question
Salut à toi !
Merci pour ta question. :)
Inviterait s'accorde avec expédition, soit un nom commun féminin et singulier.
La manipulation syntaxique de l'encadrement permet de trouver le sujet du verbe et donc de savoir comment l'accorder. On peut l'encadrer par C'est... qui ou par Ce sont... qui.
- Exemple : C'est une telle expédition qui nous inviterait...
Pour plus d'informations sur le sujet, je t'invite à consulter cette fiche !
N'hésite surtout pas à nous réécrire si tu as d'autres questions !
Océane :)
Re: Question
Salut :D
Il faut calculer la masse molaire, puis prendre comme masse hypothétique 5g, car on a 5g/100g comme masse en pourcentage.
Pour plus d'exemples de calculs, c'est par ici.
N'hésite pas à nous envoyer l'exercice en photo au besoin.
À tout de suite :)




