Best Of
Re: Question
Salut!
Pour pratiquer les verbes, rien de mieux que la répétition! Écrire, lire à voix haute, chanter, expliquer! Nous avons un super jeu pour apprendre les temps de verbe. Il s'agit de Conjugo!
Sinon, tu peux aussi étudier avec un ami ou un adulte!
Si tu as d'autres questions, n'hésite pas à nous réécrire! :)
Re: Question
Bonsoir OrioleOrange7335!
Le mot "charge" désigne ici une valeur en lien avec les forces électrostatiques agissant dans un atome entre les protons et les électrons en particulier.
Le mot "nucléaire" fait référence à une particule qui se situe dans le noyau d'un atome soit un proton ou soit un neutron
Alors l'expression "charge nucléaire" est en lien avec les charges électriques des particules du noyau atomique:
Le proton: chaque proton porte une charge électrique positive "+"
Le neutron: il ne porte pas de charge électrique. On dit qu'il est "neutre" d'où son nom.
Exemple: Dans l'atome de Bore,
on compte 5 protons donc 5 particules ayant une charge positive (+) dans son noyau.
J'espère que mes explications t'on permis de mieux comprendre ce concept.
N'hésite pas à nous écrire à nouveau si tu as d'autres questions!
Bien à toi,
ThonLucide8631
Re: Question
Salut AgileEagle5635!
Merci pour ta question. 🤩
Malheureusement, cette option n'est pas disponible sur notre site. Il s'agirait par contre d'un bel ajout!
Tu peux tout de même t'exercer avec certains mots de vocabulaire en jouant à notre jeu Spellers, je te laisse le lien ici :
En espérant que cela répond à ta question. Si tu en as d'autres, n'hésite surtout pas à nous réécrire, il nous fera plaisir de t'aider à nouveau!
À bientôt,
Océane :)
Question
Je ne comprend les lettre A), C), E), D) et F) merci de m'aider a comprendre
Re: Question
Salut!
Pour le c), tu dois utiliser cette loi :
Pour le f), tu dois utiliser cette loi pour simplifier les puissances de 7 :
Comme ceci :
$$(\frac{7^4}{4^2 \times 7})^5$$
$$(\frac{7^4}{4^2 \times 7^1})^5$$
$$(\frac{7^3}{4^2})^5$$
Tu peux maintenant distribuer l'exposant 5 sur le numérateur et le dénominateur :
Et finalement simplifier les exposants qui s'empileront :
J'espère que c'est plus clair pour toi! :)
Re: Question
Salut,
Merci d'utiliser la zone d'entraide.
C'est bien que tu sois en mesure de déterminer spécifiquement tes difficultés.
Tu peux donc continuer à étudier en te concentrant sur cette personne. Je t'invite également à te concentrer sur les radicaux et les terminaisons, de cette façon, tu seras en mesure de définir les terminaisons qui reviennent souvent à la première personne.
Pour t'aider davantage, je te propose de consulter la fiche suivante:
N'hésite pas à revenir nous voir si tu as d'autres questions!
Karen
Re: Question
Bonjour BB8Artistique7238,
Merci de faire appel à nos services! :)
Malheureusement, il ne nous est pas possible de partager la page d’un cahier d’exercices ou d’un manuel en raison des droits d’auteur.
Je te suggère toutefois d'essayer de contacter des élèves de ta classe afin de voir s'ils peuvent te partager la page en question ! :)
Bonne soirée,
Iris
Re: Question
Salut!
Soit
x = # de téléphones standard (produits à 150$ chaque et vendus à 220$) produits en une semaine
y = # de téléphones grand écran (produits à 180$ chaque et vendus à 350$) produits en une semaine
De ma lecture je vois une contrainte:
Un maximum de 250 téléphones doit être produits par semaine => x + y ≤250
Le coût de production par semaine est:
150x + 180y
alors que le revenu par semaine est plus petit ou égale à
220x + 350y
car on ne sait pas combien de téléphones sont vendus parmi ceux produits. On dirait qu'il manque une information.
En maximisant le profit, c'est-à-dire la différence entre le revenu des téléphones vendus et le coût des téléphones produits tu réponds à l'objectif cherché. En effet, en maximisant la différence, tu te trouves à augmenter les revenus et diminuer les coûts de production.
En fait si on savait que tous les téléphones produits sont vendus
tu n'aurais qu'à maximiser
(220x + 350y) - (150x + 180y)
avec la contrainte x + y ≤250
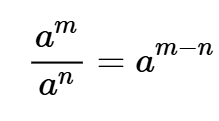
Re: Question
Salut!
Tu dois simplement appliquer cette loi des exposants :
Ce qui te donne ceci :
$$\frac{2^9 \times 5^6}{2^4 \times 5^2}$$
$$2^{9-4} \times 5^{6-2} $$
$$2^{5} \times 5^{4} $$
Voilà!
N'hésite pas si tu as d'autres questions! :)







