Best Of
Re: Question
Salut!
Pour additionner des fractions, tu dois les placer sur un même dénominateur si elles ne le sont pas déjà.
Par exemple, si on veut effectuer l'addition suivante :
$$ \frac{3}{14}+\frac{6}{7} $$
On a les dénominateurs 14 et 7, il faut donc trouver le PPCM de 14 et 7, qui est 14. On peut alors transformer la fraction \(\frac{6}{7} \) en une fraction équivalente dont le dénominateur sera 14.
$$ \frac{6}{7} = \frac{?}{14} $$
Puisqu'on doit multiplier le dénominateur 7 par 2 pour obtenir 14, il faut alors aussi multiplier le numérateur 6 par 2 :
$$ \frac{6}{7} = \frac{6\times2}{7\times 2}=\frac{12}{14} $$
On remplace alors \(\frac{6}{7} \) par sa fraction équivalente dans l'addition:
$$ \frac{3}{14}+\frac{12}{14} $$
Maintenant que les deux fractions sont sur le même dénominateur, on peut additionner leur numérateur :
$$ \frac{3+12}{14} = \frac{15}{14} $$
Voilà! :D
Voici un autre exemple :
Pour effectuer l'addition 17/19 +4/38, tu peux simplifier la fraction 4/38 afin qu'elle soit irréductible. Pour cela, tu dois diviser le numérateur et le dénominateur par 2. Une fois que tu as fait cela, tu verras que l'addition de fractions se fera facilement ;)
Je t'invite à consulter la fiche suivante pour plus de détails sur cette notion : Additionner des fractions | Primaire | Primaire | Alloprof
De plus, voici des exercices si tu souhaites te pratiquer davantage : Les opérations sur les fractions | Alloprof
Reviens nous voir si tu as d'autres questions! :)
Re: Question
Bonjour R2D2Noble7199,
Merci beaucoup pour ta question! Tout d’abord, tu dois savoir que, dans les deux cas, de l'électricité est produite grâce à la chaleur. Cependant, c’est dans la manière de produire de la chaleur qu’il y a une différence. Dans le cas de la centrale nucléaire, la chaleur est produite grâce à la fission des noyaux d’atomes.
De l’autre côté, la centrale thermique produit sa chaleur grâce à la combustion de différents combustibles fossiles, comme le charbon. Voici une fiche qui pourrait t’aider :
J’espère avoir répondu à ta question. N’hésite pas à nous réécrire si des questions persistent!
Re: Question
Salut AvocatAdorable350 !
Merci de faire appel à nos services! :)
Je te suggère d'en faire la suggestion à notre équipe de contenu juste ici :
https://alloprof-ti.atlassian.net/servicedesk/customer/portal/6/group/37
Notre équipe de contenu souhaite toujours s'améliorer, donc elle appréciera grandement tes commentaires! :)
Si non voici le lien du site taptouche :
N'hésite pas à repasser si tu as d'autres questions.
Angélique :)
Re: Question
Premierement,trouve des diviseurs communs puis,trouve le plus grand commun diviseur. Divise le 3 par ce nombre puis fait la meme chose avec le 12. J'espere que ça va t'aider.
Re: Question
Salut!
Pour les lentilles, tu dois dessiner les trois rayons principaux.
Pour une lentille convergente, les rayons sont les suivants :
Et pour une lentille divergente, on a :
Voici des fiches sur ces notions pour plus de détails :
- Les images formées par les lentilles convergentes | Alloprof
- Les images formées par les lentilles divergentes | Secondaire | Alloprof
Pour un miroir plan, il faut utiliser la loi de la réflexion, comme ceci :
La fiche suivante présente justement les étapes à suivre pour déterminer la position d'une image dans un miroir plan : Les images formées par les miroirs plans | Alloprof
Pour les miroirs courbes, je t'invite à consulter la fiche suivante : Les images formées par les miroirs courbes | Secondaire | Alloprof
Si tu as d'autres questions, n'hésite pas à nous réécrire! :)
Re: Question
Salut WasabiSigma6922 !
Merci de faire appel à nos services! :)
Je te suggère d'en faire la suggestion à notre équipe de contenu juste ici :
https://alloprof-ti.atlassian.net/servicedesk/customer/portal/6/group/37
Notre équipe de contenu souhaite toujours s'améliorer, donc elle appréciera grandement tes commentaires! :)
N'hésite pas à revenir si tu as des questions.
Angélique :)
Re: Question
Salut!
Pour calculer les taxes d'un produit, on doit multiplier le prix du produit par 15%. Par exemple, les taxes à payer pour un article à 20$ sont de :
$$ 0,15 \times 20$ = 3$ $$
Si tu veux connaître le montant après taxes, tu n'as qu'à additionner le 3$ au 20$, ce qui nous donne 23$.
Pour un rabais, c'est le même principe, sauf que l'on va soustraire le montant économisé du prix initial pour avoir le prix après rabais.
Je t'invite à consulter ces questions très similaires à la tienne pour des explications supplémentaires :
- https://www.alloprof.qc.ca/zonedentraide/discussion/30338/question/p1
- Bonjour !<br> Je voulais savoir comment calculer des taxes et de — Alloprof
Et voici une fiche sur cette notion qui pourrait t'être utile : Le calcul de la taxe et d'un rabais | Secondaire | Alloprof
J'espère que c'est plus clair pour toi! :)
Re: Question
Bonjour !
Merci beaucoup pour ta question. :)
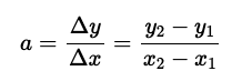
Dans ce problème, on met en relation les deux variables suivantes : le nombre de pentagones (variable indépendante) et le nombre de bâtonnets (variable dépendante). Au numéro a), on doit trouver la règle de cette relation qui sera de la forme f(x) = ax + b. D'abord, on devra trouver le taux de variation (a) en utilisant deux coordonnées (x1, y1) et (x2, y2) de la table de valeurs et la relation suivante :
Une fois que l'on connaîtra le taux de variation, on pourra l'insérer dans la règle f(x) = ax + b en remplaçant « a » par la valeur trouvée. On pourra ensuite trouver l'ordonnée à l'origine, qui correspond au paramètre b. Pour cela, on utilisera une coordonnée de la table de valeurs, par exemple (1, 5) (ce peut être n'importe quelle, en réalité), puis on isolera le paramètre b.
Pour le numéro b), tu pourras y répondre à l'aide de la règle que tu auras trouvée au numéro a), en remplaçant dans celle-ci la variable indépendante par 12. :)
Je te laisse cette fiche ici, qui peut sans doute t'aider à mieux comprendre : https://www.alloprof.qc.ca/fr/eleves/bv/mathematiques/le-taux-de-variation-a-et-l-ordonnee-a-l-ori-m1094
J'espère que c'est plus clair pour toi! :)
Re: Question
Salut!
Les angles alternes-internes et les angles alternes-externes sont formés par une droite sécante coupant deux droites parallèles. Ces angles sont situés de part et d'autre de cette droite sécante (un angle à gauche de la droite sécante, et l'autre à droite).
La différence est que les angles alternes-internes sont dans l'espace à l'intérieur des droites parallèles, ils sont donc dans l'espace interne, tandis que les angles alternes-externes sont situés dans l'espace à l'extérieur des droites parallèles, dans l'espace externe.
En bref, alternes-internes = à l'intérieur des droites, alternes-externes = à l'extérieur des droites.
Voici une explication supplémentaire donnée à une question très similaire à la tienne : bonjour, je ne comprends pas quelle est la différence entre — Alloprof
Et voici une fiche sur cette notion qui pourrait t'être utile : Les relations entre les angles | Secondaire | Alloprof
Si tu as d'autres questions, on est là! :)
Re: Question
Salut SoleilInoubliable8340!
Aurais-tu essayer de complètement fermer AlloProf et le rouvrir? Sinon ferme ton ordi complètement et essaye à nouveau.
ElfeRose7143




