Best Of
Re: Question
Salut!
Nous n'avons pas ce manuel malheureusement, peux-tu nous envoyer une photo de l'exercice?
J'attends de tes nouvelles! :)
Re: Question
Bonjour CarboneArtistique,
Merci pour ta question!
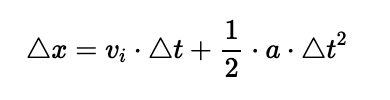
Tu peux utiliser cette formule pour résoudre ce problème:
Delta x correspond à la hauteur de l'objet (la distance qu'il parcoure), vi est de 0 (car l'objet est immobile avant de tomber) et a est l'accélération gravitationnelle. Tu peux ainsi trouver delta t!
N'hésite pas si tu as encore besoin d'aide:)
Kylan
Question
Bonjour je suis en secondaire 5 et je viens de recevoir mon bulletin. Je suis en physique chimie et j’aimerais pouvoir avoir un aperçu approximatif de ma moyenne générale pondérée. Comment puis-je la calculer? Et combien d’unités ai-je accumuler pour mon entrée au cégep? Merci!
Re: Question
Salut !
La première étape dans ce genre d'exercice est de s'assurer que la réaction est bien balancée.
À partir de là, il faut identifier le réactif limitant. Pour ce faire, il faut calculer le nombre de mole de chaque réactif. Pour le glucose, tu peux le faire à l'aide de la masse consommée et de sa masse molaire.
Pour ce qui est de l'oxygène, il te faut d'abord calculer le nombre de mole de gaz dans l'atmosphère et utiliser les différents pourcentages pour calculer le nombre de mole d'oxygène respiré. Puis, tu peux répondre à chacune des questions.
J'espère que cela ait pu t'aider et si tu as d'autres questions, n'hésite pas !
Bonne soirée !
Re: Question
Salut !
En fait, selon l'équilibre des pressions, il n'est pas possible d'atteindre un pression nulle dans le cylindre. Dans le cas présent, le cylindre n'est pas vidé. Ainsi, il te faut utiliser les pressions indiquées.
$$ P_1=P_2 $$
$$ \frac{n_1RT_1}{V_1}=\frac{n_2RT_2}{V_2} $$
J'espère que cela ait pu t'aider et si tu as d'autres questions, n'hésite pas !
Bonne soirée !
Re: Question
Bonjour!
Je te suggère de te créer un horaire d'étude afin de consacrer du temps à toutes les matières que tu dois étudier. Pour créer ton horaire, tu dois aussi prendre en considération les priorités. Par exemple, si tu as un gros examen de mathématiques qui arrive, il est important de mettre un peu plus de temps là-dessus!
Avoir un horaire définit t'aidera à bien diviser ton temps et à te sentir plus en contrôle! :D
Si tu as d'autres questions, n'hésite pas à nous réécrire. Nous te répondrons avec plaisir!
Laurie :)
Re: Question
Bonjour!
Oui! Il est toujours possible de parler directement avec un prof!
Le service est disponible du lundi au jeudi de 17h à 20h et le dimanche de 14h à 17h.
Voici le lien :
Si tu as d'autres questions, n'hésite pas à nous réécrire. Nous te répondrons avec plaisir!
Laurie :)
Re: Question
Bonjour MegalosaureSolidaire,
Merci pour ta question!
Les dates de publication des fiches explicatives d'Alloprof ne sont effectivement pas affichées. Tu peux simplement écrire [sans date] au lieu de l'année que tu aurais indiquée dans ta bibliographie, c'est permis quand aucune date n'est affichée.
N'hésite pas si tu as encore besoin d'aide:)
Kylan
Re: Question
Bonjour!
Pluies acides : Les pluies acides sont des dépôts humides qui provoquent une érosion qui endommage les écosystèmes.
Voici un article sur le sujet des pluies acides qui t'aidera à comprendre :
Une moraine est un amas de débris minéraux qui ont été transportés par un glacier ou une nappe de glace. Les cours d’eau et les glaciers façonnent les vallées.
Pédestre est un adjectif qui signifie « qui se fait à pied ».
Patrimoine naturel : Le patrimoine naturel représente tous les éléments de la nature qui constituent une richesse pour l'humanité et qu'on souhaite conserver et protéger. Le patrimoine naturel est formé d'éléments de la nature qui ont une grande valeur pour tous les humains.
En ce qui concerne « gestionnaire », je ne suis pas certaine de la définition attendue. En effet, ce mot n'est pas un mot spécifique à la géographie. Je te suggère donc de consulter le dictionnaire! :D
Si tu as d'autres questions, n'hésite pas à nous réécrire. Nous te répondrons avec plaisir!
Laurie :)
Re: Question
Gestion des données géographiques valorisant leur analyse et leur interprétation pour la mise en œuvre opérationnelle d'un outil technique d'analyse et de gestion, notamment en matière de ressources humaines, de ressources administratives, de ressources financières et d'infrastructures.
pluie acide -On appelle « pluies acides » les retombées sèches ou humides de substances acides et de leurs précurseurs sur la surface de la surface de la terre
-moraine Une moraine est un relief constitué de l'accumulation de sédiments détachés d'un GLACIER ou entraînés et déposés par celui-ci, dont la forme est indépendante du terrain sous-jacent.
Pédestre -Relatif à la marche, effectué à pied.
patrimoine naturel -spécificités naturelles, les formations géologiques ou de géographie physique et les zones définies qui constituent l’habitat d’espèces animales et végétales menacées, ainsi que les sites naturels qui présentent un intérêt sur le plan scientifique,
voilas 🙂
