Best Of
Re: Question
Bonjour OrRose2689,
Je te réponds par ta question pour t'affirmer que les fibres font partie des glucides complexes.
Pour t'aider, il existe deux types de glucides : les glucides simples et les glucides complexes.
- Les glucides simples sont formés par une ou deux molécules, ils sont facilement digérable.
- Les glucides complexes sont formés par des longues chaînes de molécules (dans notre cas, les fibres et l'amidon). Pour qu'elles soient digérables, on les transformes ceux-ci en glucides simples, comme le glucose, le fructose et le galactose.
Un petit truc pour s'en rappeler s'agit que les aliments qui contient des céréales complètes (du blé, du riz, de l'avoine, du boulgour, du quinoa, etc.) sont des glucides complexes, comme la plupart des végétaux (ex. : les pommes de terres ou les légumineuses).
Pour les glucides simples, ils s'agissent des fruits, du sirop d'érable, des produits principalement laitier (qui provient d'un animal.)
Je te conclue pour te dire que les glucides ingérés devient du surplus qui seront transformée en lipides et mis dans la réserve sous forme de gras.
- Réponse tirée de ChatGPT
J'espère cela va t'aider!
Si tu as besoin de plus d'explications, de ressources ou de synthèse de cette section, faites moi signe!
OnyxTurquoise9374
Re: Question
Slt
Les fibres alimentaires sont des types de glucides naturels ou synthétiques, non digérés et non absorbés par le corps, et qui ont des effets physiologiques démontrés. Elles ne font pas augmenter le taux de sucre dans le sang comme l'amidon et les sucres.
Re: Question
La règle des majuscules dans les accolades suit les mêmes principes que dans le texte ordinaire : si la majuscule est justifiée par une norme grammaticale, un nom propre, ou un titre, vous pouvez la mettre. Sinon, ce n'est pas nécessaire.
Re: Question
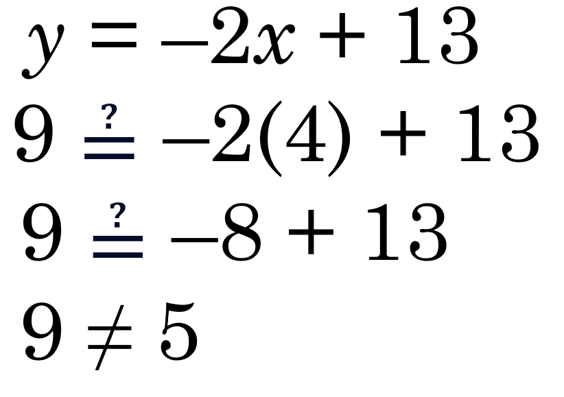
Bonjour LynxZen7713,
Pour savoir si la coordonnée est sur la droite, il faut que tu détermines quelle variable correspond au coordonnée.
En bref, dans ses situations, tu dois faire :
- Mettre l'équation;
- Remplacer les variables par nos valeurs;
- Déterminer s'il y a une égalité;
- Si oui, alors le point est sur la droite. Si non, alors le coordonnée n'est pas sur la droite.
J'espère que tu as bien compris!
Pose d'autres questions et j'essayerai de mon mieux de te l'expliquer.
OnyxTurquoise9374
Re: Question
J'ai présumé que les droites faisaient partie des régions identifiées, c'est pourquoi je les ai incluses (≥ au lieu de >)
Re: Question
Le domaine doit être tel que π ≤ x ≤ 2π donc 2π ≤ x ≤ 4π
on doit aussi s'assurer que 2cos(2x) -1 ≠ 0
cos(2x) ≠ 1/2
dans le cercle trigonométrique cela signifie que 2x doit être différent de π/3 + k2π et 5π/3 + k2π, pour tenir compte de la période de 2π (note que pour 2π/3 et 4π/3 le cosinus est de -1/2)
Ce qui revient à un x qui doit être différent de π/6 + kπ et 5π/6 + kπ
dans l'intervalle [π,2π] il y a π/6 + π = 7π/6 et 5π/6 + π = 11π/6 qu'on doit exclure
donc le domaine de la fonction est [π, 2π] \ {7π/6, 11π/6}
Re: Question
Salut !
Normalement, ce symbole signifie que les deux vecteurs sont colinéaires. Des vecteurs colinéaires, aussi appelés linéairement dépendants, sont des vecteurs qui ont la même direction.
J'espère que cela ait pu t'aider et si tu as d'autres questions, n'hésite pas !
Bonne journée !
Re: Question
Salut!
Pour additionner des fractions, tu dois les placer sur un même dénominateur.
Par exemple, si on veut effectuer l'addition suivante :
$$ \frac{3}{14}+\frac{6}{7} $$
On a les dénominateurs 14 et 7, il faut donc trouver le PPCM de 14 et 7, qui est 14. On peut alors transformer la fraction \(\frac{6}{7} \) en une fraction équivalente donc le dénominateur sera 14.
$$ \frac{6}{7} = \frac{?}{14} $$
Puisqu'on doit multiplier le dénominateur 7 par 2 pour obtenir 14, il faut alors aussi multiplier le numérateur 6 par 2 :
$$ \frac{6}{7} = \frac{6\times2}{7\times 2}=\frac{12}{14} $$
On remplace alors \(\frac{6}{7} \) par sa fraction équivalente dans l'addition:
$$ \frac{3}{14}+\frac{12}{14} $$
Maintenant que les deux fractions sont sur le même dénominateur, on peut additionner leur numérateur :
$$ \frac{3+12}{14} = \frac{15}{14} $$
Voilà! :D
Dans ton cas, tu as cette addition :
$$\frac{10}{18}+\frac{7}{9}+\frac{2}{3}+5$$
Tu peux transformer le nombre 5 en une fraction dont le dénominateur est 1 :
$$\frac{10}{18}+\frac{7}{9}+\frac{2}{3}+\frac{5}{1}$$
Ensuite, tu dois trouver un dénominateur commun pour 18, 9 et 3. Je te laisse y réfléchir.
Je t'invite à consulter la fiche suivante : Additionner des fractions | Primaire | Primaire | Alloprof
Essaie de résoudre le calcul avec ces indices, et à revenir nous voir si tu as de la difficulté ou si tu as d'autres questions! :)
Question
quelqu'un peut m'aider a resoudre cette equation (et m'aider a le comprendre bien sur) 10/18+7/9+2/3+5




