Ce contenu est protégé par le droit d'auteur. Toute reproduction à l'extérieur des forums Alloprof est interdite et pourra être considérée comme une violation du droit d'auteur.
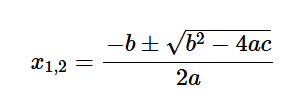
You can use the quadratic formula to find the answer(s) to this equation:
Ce contenu est protégé par le droit d'auteur. Toute reproduction à l'extérieur des forums Alloprof est interdite et pourra être considérée comme une violation du droit d'auteur.
Try to do the math and let us know if you can't find the answer! :)
Explanation from Alloprof
This Explanation was submitted by a member of the Alloprof team.
Hi!
You can use the quadratic formula to find the answer(s) to this equation:
Ce contenu est protégé par le droit d'auteur. Toute reproduction à l'extérieur des forums Alloprof est interdite et pourra être considérée comme une violation du droit d'auteur.
Try to do the math and let us know if you can't find the answer! :)