La division euclidienne s'agit d'une opération où l'on divise un nombre entier par un autre nombre entier non nul.
Puisque tu es en secondaire 4, tu dois diviser une expression algébrique par un binôme.
Pour y arriver, tu peux te fier à la structure de démarche suivante.
Écrire les termes du dividende et du diviseur en ordre décroissant selon le degré de leurs termes.
Diviser les premiers termes du dividende et du diviseur ensemble.
Placer le résultat de cette division sous le diviseur.
Le multiplier avec tous les termes du diviseur.
Faire la différence entre le dividende et la nouvelle expression algébrique obtenue.
Abaisser les termes restants du dividende à la même hauteur que le résultat de la soustraction.
Répéter les étapes 2) à 6) jusqu'à ce que le degré du dividende soit plus petit que celui du diviseur.
Au besoin, écrire le reste de façon adéquate.
Essayons avec l'exemple suivant: \( (2x^2 + 2x^3y+ 4x^2y^2 + 4xy) \) et \( (x + 2y) \).
1) Ordonner les polynômes
En ordonnant les polynômes, on obtient la division suivante.
Ce contenu est protégé par le droit d'auteur. Toute reproduction à l'extérieur des forums Alloprof est interdite et pourra être considérée comme une violation du droit d'auteur.
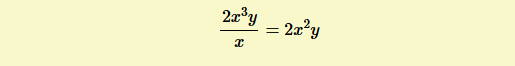
2)Diviser les premiers termes du dividende et du diviseur
Ce contenu est protégé par le droit d'auteur. Toute reproduction à l'extérieur des forums Alloprof est interdite et pourra être considérée comme une violation du droit d'auteur.
3) Écrire le résultat sous le diviseur
Ce contenu est protégé par le droit d'auteur. Toute reproduction à l'extérieur des forums Alloprof est interdite et pourra être considérée comme une violation du droit d'auteur.
4) Multiplier le résultat par chacun des termes du diviseur
Ce contenu est protégé par le droit d'auteur. Toute reproduction à l'extérieur des forums Alloprof est interdite et pourra être considérée comme une violation du droit d'auteur.
5) Faire la différence entre le dividende et l'expression algébrique obtenue
Ce contenu est protégé par le droit d'auteur. Toute reproduction à l'extérieur des forums Alloprof est interdite et pourra être considérée comme une violation du droit d'auteur.
6) Abaisser les termes restants du dividende
Ce contenu est protégé par le droit d'auteur. Toute reproduction à l'extérieur des forums Alloprof est interdite et pourra être considérée comme une violation du droit d'auteur.
7) Répéter les étapes 2) à 6)
Ce contenu est protégé par le droit d'auteur. Toute reproduction à l'extérieur des forums Alloprof est interdite et pourra être considérée comme une violation du droit d'auteur.
La réponse finale est égale au quotient trouvé: \( 2x^2y+2x\).
Explanation from Alloprof
This Explanation was submitted by a member of the Alloprof team.
Bonsoir, ElfeHumble179!
La division euclidienne s'agit d'une opération où l'on divise un nombre entier par un autre nombre entier non nul.
Puisque tu es en secondaire 4, tu dois diviser une expression algébrique par un binôme.
Pour y arriver, tu peux te fier à la structure de démarche suivante.
Essayons avec l'exemple suivant: \( (2x^2 + 2x^3y+ 4x^2y^2 + 4xy) \) et \( (x + 2y) \).
1) Ordonner les polynômes
En ordonnant les polynômes, on obtient la division suivante.
Ce contenu est protégé par le droit d'auteur. Toute reproduction à l'extérieur des forums Alloprof est interdite et pourra être considérée comme une violation du droit d'auteur.
2) Diviser les premiers termes du dividende et du diviseur
Ce contenu est protégé par le droit d'auteur. Toute reproduction à l'extérieur des forums Alloprof est interdite et pourra être considérée comme une violation du droit d'auteur.
3) Écrire le résultat sous le diviseur
Ce contenu est protégé par le droit d'auteur. Toute reproduction à l'extérieur des forums Alloprof est interdite et pourra être considérée comme une violation du droit d'auteur.
4) Multiplier le résultat par chacun des termes du diviseur
Ce contenu est protégé par le droit d'auteur. Toute reproduction à l'extérieur des forums Alloprof est interdite et pourra être considérée comme une violation du droit d'auteur.
5) Faire la différence entre le dividende et l'expression algébrique obtenue
Ce contenu est protégé par le droit d'auteur. Toute reproduction à l'extérieur des forums Alloprof est interdite et pourra être considérée comme une violation du droit d'auteur.
6) Abaisser les termes restants du dividende
Ce contenu est protégé par le droit d'auteur. Toute reproduction à l'extérieur des forums Alloprof est interdite et pourra être considérée comme une violation du droit d'auteur.
7) Répéter les étapes 2) à 6)
Ce contenu est protégé par le droit d'auteur. Toute reproduction à l'extérieur des forums Alloprof est interdite et pourra être considérée comme une violation du droit d'auteur.
La réponse finale est égale au quotient trouvé: \( 2x^2y+2x\).
https://www.alloprof.qc.ca/fr/eleves/bv/mathematiques/la-division-d-une-expression-algebrique-par-un-bi-m1532
N'hésite pas à poser d'autres questions!