Skip to content

Help Zone

Student Question

Secondary IV • 3yr.

It's fair to convert vertex form to general form and general form to vertex form and so I need help to change from

general form to standard form, In joint, there is an illustration.

Mathematics
avatar
avatar

{t c="richEditor.description.title"} {t c="richEditor.description.paragraphMenu"} {t c="richEditor.description.inlineMenu"} {t c="richEditor.description.embed"}

Explanations (1)

  • Explanation from Alloprof

    Explanation from Alloprof

    This Explanation was submitted by a member of the Alloprof team.

    Options
    Team Alloprof • 3yr.

    Hi ExtraordinaryMelon4228,

    Thank you for your question!

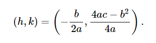
    Before starting the resolution, we need to understand the different form of quadratic functions. The general form is this one:

    $$f(x)=ax^2+bx+c$$

    In this problem, we want the standard form, which is this one:

    $$f(x)=a(x-h)^2+k$$

    To go from the general form to the standard form, we need to use this formula:

    image.png

    We then have the values of h and k, we can now write the function in the standard form. You can also use the completing square technique, it's just a bit longer to do.

    I hope that helps and feel free to write us again!

    Anthony B.

Ask a question