Skip to content

Help Zone

Student Question

Secondary IV • 2yr.

Comment fait-on pour trouver les coordonnées d'un point en sachant sa distance par rapport à deux autres points dont on connait les coordonnées? Quelles sont les étapes SVP?

Mathematics
avatar
avatar

{t c="richEditor.description.title"} {t c="richEditor.description.paragraphMenu"} {t c="richEditor.description.inlineMenu"} {t c="richEditor.description.embed"}

Explanations (1)

  • Explanation from Alloprof

    Explanation from Alloprof

    This Explanation was submitted by a member of the Alloprof team.

    Options
    Team Alloprof • 2yr.

    Salut!


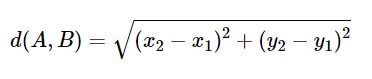
    Tu peux utiliser la formule permettant de trouver la distance entre deux points, soit :

    image.png

    Et y insérer la distance avec le premier point et les coordonnées du premier point, et dans une seconde équation la distance avec l'autre point et les coordonnées de cet autre point.

    Tu auras ainsi deux équations et deux inconnus, soit x1 et y1, les coordonnées du point que tu cherches. En résolvant le système d'équations, tu obtiendras la valeur de ces inconnus.


    Si tu as d'autres questions, on est là! :)

Ask a question