Secondary IV • 2yr.
Bonjour,
Je ne comprends pas comment résoudre le problème suivant. J'ai vraiment tout essayé mais je n'arrive pas à trouver la réponse.
Merci
Bonjour,
Je ne comprends pas comment résoudre le problème suivant. J'ai vraiment tout essayé mais je n'arrive pas à trouver la réponse.
Merci
Explanation from Alloprof
This Explanation was submitted by a member of the Alloprof team.
Bonjour XwingBrave5256,
Étant donné que tu connais l'angle BAC et qu'on te donne des indications sur les côtés adjacents à cet angle, je te conseillerai d'utiliser la formule trigonométrique pour calculer l'aire d'un triangle.
Ainsi:
Ce contenu est protégé par le droit d'auteur. Toute reproduction à l'extérieur des forums Alloprof est interdite et pourra être considérée comme une violation du droit d'auteur.
En remplaçant A par 20, tu pourras isoler le produit AB*AC (qui te donnera 80 cm^2). Détermine une combinaison de deux nombres dont le produit donne 80 (en tenant compte de tes contraintes).
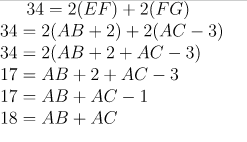
Dans le rectangle DEFG, tu utiliseras les contraintes sur les côtés EF et FG pour trouver le périmètre de 34 cm:
Ce contenu est protégé par le droit d'auteur. Toute reproduction à l'extérieur des forums Alloprof est interdite et pourra être considérée comme une violation du droit d'auteur.
Donc, tu devras résoudre un système d'équations tel que: AB*AC =80 et AB+AC = 18.
Il te restera à trouver les mesures manquantes pour trouver les dimensions de ton rectangle puis, utiliser la trigonométrie (SohCahToa ou loi des sinus) pour déterminer la mesure d'angle EGF.
Bon travail