Secondary IV • 2yr.
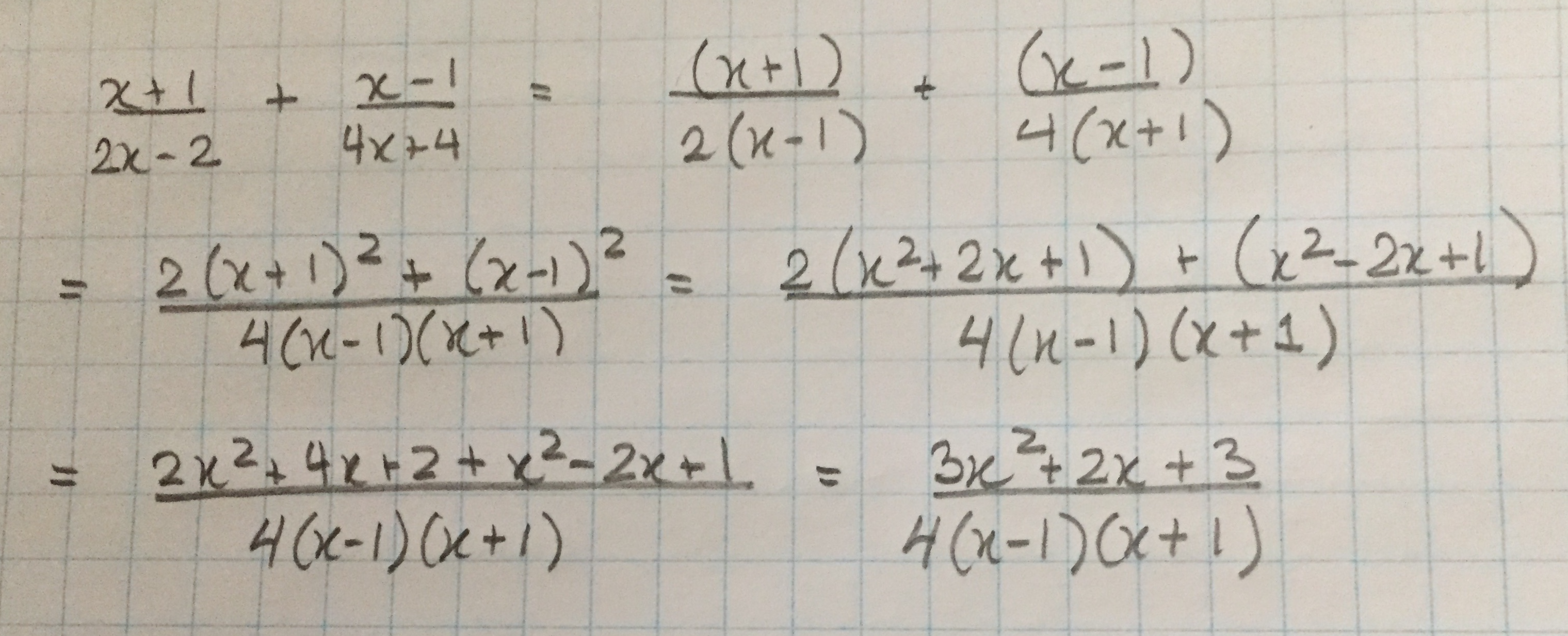
J'ai déjà demander de l'aide pour celui là, mais même avec gpt 4, qui d'habitude peux résoudre presque tout, je suis totalement incapable de résoudre le dénominateur de mon expression rationnelle comme dans le corrigé. J'essaye de pas trop abuser du forum mais j'ai déjà passer plus d'une heure dessus.. merci..

Explanation verified by Alloprof
This Explanation was verified by a member of the Alloprof team.
Ce contenu est protégé par le droit d'auteur. Toute reproduction à l'extérieur des forums Alloprof est interdite et pourra être considérée comme une violation du droit d'auteur.