Secondary III • 2yr.
Bonjour,
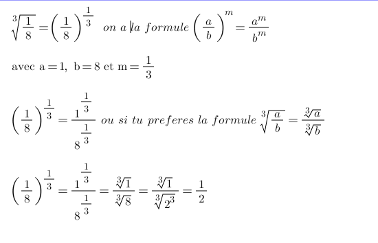
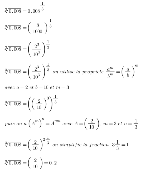
Je ne sais pas comment calculer ça sans la calculatrice. Je voudrais savoir les étapes pour arriver à la réponse san sans la calculatrice.
Merci!
Bonjour,
Je ne sais pas comment calculer ça sans la calculatrice. Je voudrais savoir les étapes pour arriver à la réponse san sans la calculatrice.
Merci!
Explanation verified by Alloprof
This Explanation was verified by a member of the Alloprof team.
Ce contenu est protégé par le droit d'auteur. Toute reproduction à l'extérieur des forums Alloprof est interdite et pourra être considérée comme une violation du droit d'auteur.
Ce contenu est protégé par le droit d'auteur. Toute reproduction à l'extérieur des forums Alloprof est interdite et pourra être considérée comme une violation du droit d'auteur.