Skip to content

Help Zone

Student Question

Secondary V • 2yr.

Bonjour,

Comment trouver la racine carré de -9 ?

Pourquoi je peux trouver la racine cubique de -216 mais pas la racine carré de -9 ?

Merci de m'aider

Mathématiques
avatar
avatar

{t c="richEditor.description.title"} {t c="richEditor.description.paragraphMenu"} {t c="richEditor.description.inlineMenu"} {t c="richEditor.description.embed"}

Explanations (2)

  • Options
    2yr.

    @

    Aucun nombre réel multiplié par lui-même donne un nombre négatif, car selon la loi des signes

    (+)(+) = + et (-)(-) = +.

    Concernant la racine cubique d un nombre négatif, c est possible car (-)(-)(-) = -

    exemple: (-2)(-2)(-2) = -8 . Donc la racine cubique de -8 est -2

    .

  • Explanation from Alloprof

    Explanation from Alloprof

    This Explanation was submitted by a member of the Alloprof team.

    Options
    Team Alloprof • 2yr.

    Salut :D

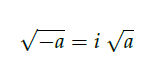
    Voici la formule théorique.

    image.png

    Si tu souhaites faire racine de -9 en nombres imaginaires, tu auras i racine de 9, ce qui donne 3i.

    Je te mets un document théorique ici au besoin.

    Bon apprentissage. :)

    Au plaisir de répondre à tes questions sur la Zone :D

Ask a question