Skip to content

Help Zone

Student Question

Secondary V • 2yr.

Bonjour,

Pouvez-vous m'expliquer comment on trouve la formule G = -F/lo et G = -li/F ? (la formule de grandissement en physique)

Merci !

Physique
avatar
avatar

{t c="richEditor.description.title"} {t c="richEditor.description.paragraphMenu"} {t c="richEditor.description.inlineMenu"} {t c="richEditor.description.embed"}

Explanations (2)

  • Explanation from a Help Zone Pro Explanation from a Pro

    Explanation from a Help Zone Pro

    This Explanation is reliable because it was submitted by someone Alloprof has identified as trustworthy.

    Options
    Help Zone Pro • 2yr.

    Bonjour DragonSarcelle5149,

    Merci d'avoir utilisé la zone d'entraide pour répondre à tes questions.

    Voici ce que j'ai trouvé concernant la formule de grandissement en physique, sur Alloprof. J'espère que cela puisse t'aider.

    N'hésites pas à poser des questions à nouveau.

    NabooTurquoise5159

  • Explanation from Alloprof

    Explanation from Alloprof

    This Explanation was submitted by a member of the Alloprof team.

    Options
    Team Alloprof • 2yr.

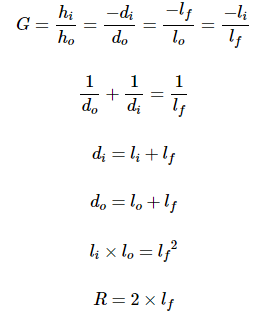
    Salut !

    La formule provient d'un facteur de proportionnalité que tu peux démontrer par expérience entre les différentes grandeurs.



    image.png


    J'espère que cela ait pu t'aider et si tu as d'autres questions, n'hésite pas !

    Bonne journée !

Ask a question