Skip to content

Help Zone

Student Question

Secondary IV • 2yr.
image.png

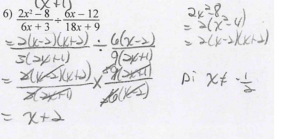
Pourquoi la restriction c'est juste -1/2 et pas -1/2 et 2 à cause du dénominateur 6(x-2)

Mathématiques
avatar
avatar

{t c="richEditor.description.title"} {t c="richEditor.description.paragraphMenu"} {t c="richEditor.description.inlineMenu"} {t c="richEditor.description.embed"}

Explanations (2)

  • Explanation from Alloprof

    Explanation from Alloprof

    This Explanation was submitted by a member of the Alloprof team.

    Options
    Team Alloprof • 2yr. edited January 2024

    Salut!


    Tu as raison, les restrictions sont bien x=-½ et x=2.

    Pour les trouver, tu dois poser les équations suivantes :

    $$ 6x+3=0$$

    $$6x-12=0$$

    $$18x+9=0$$

    La première et la troisième nous donnent la restriction x=-½, tandis que la seconde restriction (que nous posons puisque nous allons inverser le numérateur et le dénominateur pour transformer la division en multiplication) nous donne x=2.

    Voici une fiche sur cette notion qui pourrait t'être utile : La division de fractions rationnelles | Secondaire | Alloprof


    J'espère que c'est plus clair pour toi! :)

  • Options
    Grade 5 • 2yr.

    Salut!

    Tu as raison. Oui, effectivement, je te suggère de considérer comme restrictions -1/2 et 2, car lorsque tu manipules des fractions rationnelles, peu importe l'étape dans laquelle tu es, tu dois y poser des restrictions.

    Dans ce cas, tu dois poser tes restrictions pour ces dénominateurs avant d'inverser ton fraction qui joue le rôle du diviseur et après l'inversion comme suit:

    image.png

    J'espère n'avoir fait des erreurs dans mon explication.

    En espérant que cela aidera,

    Paruline

Ask a question