Secondary V • 2yr.
Salut! Même si je sais que je dois utiliser une méthode ( réduction, substitution, comparaison) je n'y arrive pas étant donné que c'est pas une fonction y=ax+b. Ça me mêle.
Salut! Même si je sais que je dois utiliser une méthode ( réduction, substitution, comparaison) je n'y arrive pas étant donné que c'est pas une fonction y=ax+b. Ça me mêle.
Explanation from Alloprof
This Explanation was submitted by a member of the Alloprof team.
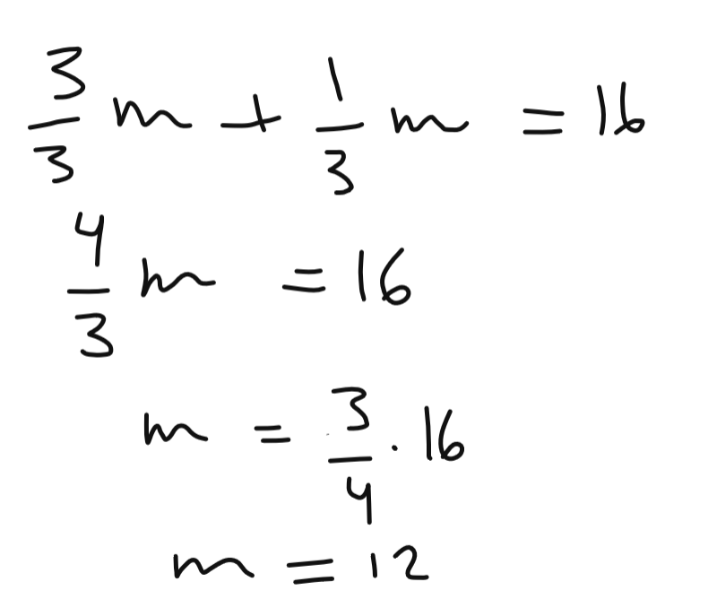
Salut :D
Tu as très bien commencé.
Il ne te reste qu'à faire une substitution. C'est la plus évidente dans ce cas-ci.
Voici comment on procède.
Ce contenu est protégé par le droit d'auteur. Toute reproduction à l'extérieur des forums Alloprof est interdite et pourra être considérée comme une violation du droit d'auteur.
Ce contenu est protégé par le droit d'auteur. Toute reproduction à l'extérieur des forums Alloprof est interdite et pourra être considérée comme une violation du droit d'auteur.
Tu peux retrouver la valeur de n grâce à la deuxième équation.
Bonne résolution :D Dis-nous si tu as besoin de plus d'aide :)