Ce contenu est protégé par le droit d'auteur. Toute reproduction à l'extérieur des forums Alloprof est interdite et pourra être considérée comme une violation du droit d'auteur.
Ce contenu est protégé par le droit d'auteur. Toute reproduction à l'extérieur des forums Alloprof est interdite et pourra être considérée comme une violation du droit d'auteur.
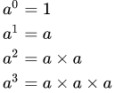
Tous les nombres exposant 0 sont égal à 1!
Explanation from Alloprof
This Explanation was submitted by a member of the Alloprof team.
Salut OrDelta5784 :)
Tous les nombres exposant 0 = 1. :D
Ici, a = n'importe quel nombre.
Ce contenu est protégé par le droit d'auteur. Toute reproduction à l'extérieur des forums Alloprof est interdite et pourra être considérée comme une violation du droit d'auteur.
Bon exercice! :)