Secondary V • 2yr.
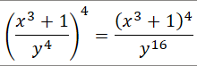
Bonjour, dans cette équation. Peut-on multiplier l'exposant de x3 avec l'exposant 4?
Ce qui devrait donné :
Ou bien j'ai mal compris les propriétés des exposants ?
Bonjour, dans cette équation. Peut-on multiplier l'exposant de x3 avec l'exposant 4?
Ce qui devrait donné :
Ou bien j'ai mal compris les propriétés des exposants ?
☺ r2d2
Non tu ne peux pas !
Exemple:
calcule (1+2)⁴ et 1⁴+2⁴.
Tu verras que ce n est pas égal.
Explanation from Alloprof
This Explanation was submitted by a member of the Alloprof team.
Salut !
Tu dois faire référence aux lois des exposants :
Ce contenu est protégé par le droit d'auteur. Toute reproduction à l'extérieur des forums Alloprof est interdite et pourra être considérée comme une violation du droit d'auteur.
Ce contenu est protégé par le droit d'auteur. Toute reproduction à l'extérieur des forums Alloprof est interdite et pourra être considérée comme une violation du droit d'auteur.
Tu peux donc distribuer l'exposant, puis multiplier les puissance de 4. Si tu as d'autres questions, n'hésite pas !