Secondary IV • 2yr.
Re-bonjour!
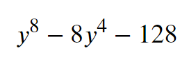
Je me demandais si la méthode produit-somme pour la factorisation d'un trinôme s'applique uniquement à la forme ax2+bx+c ou pas. Je ne comprends pas si je peux l'appliquer dans ce cas : Expliquez-moi s.v.p pourquoi on peut l'appliquer et comment avec plus de détails, ce qui m'aidera à mieux comprendre avec des phrases.
Merci :D

Explanation verified by Alloprof
This Explanation was verified by a member of the Alloprof team.
Tu peux l'appliquer, il faut juste faire un changement de variable
Ce contenu est protégé par le droit d'auteur. Toute reproduction à l'extérieur des forums Alloprof est interdite et pourra être considérée comme une violation du droit d'auteur.
L'expression devient
x²-8x-128 on peut la factoriser en x
puis dans le résultat final, tu remplaces x par y puissance 4