Secondary IV • 2yr.
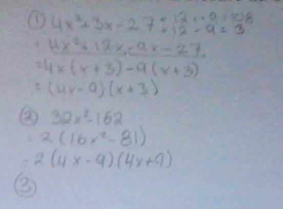
Bonjour, j'aurais une question par apport à ce problème. Lorsque j'ai commencé mes calculs, j'ai dû utiliser la mise en évidence simple pour le deuxième calcul, mais maintenant, j'ai le 2 dans ma réponse et je ne sais pas trop quoi en faire. De plus, puisque le segment IC et AB mesurent la même chose, ma réponse ne fonctionne pas donc je ne sais pas trop comment continuer.
Merci beaucoup en avance:)


Explanation verified by Alloprof
This Explanation was verified by a member of the Alloprof team.
Bonjour ! :)
Tu as bien commencé voici des indications pour te permettre de continuer
Ce contenu est protégé par le droit d'auteur. Toute reproduction à l'extérieur des forums Alloprof est interdite et pourra être considérée comme une violation du droit d'auteur.
À ta prochaine question !