Skip to content

Help Zone

Student Question

Secondary V • 2yr.

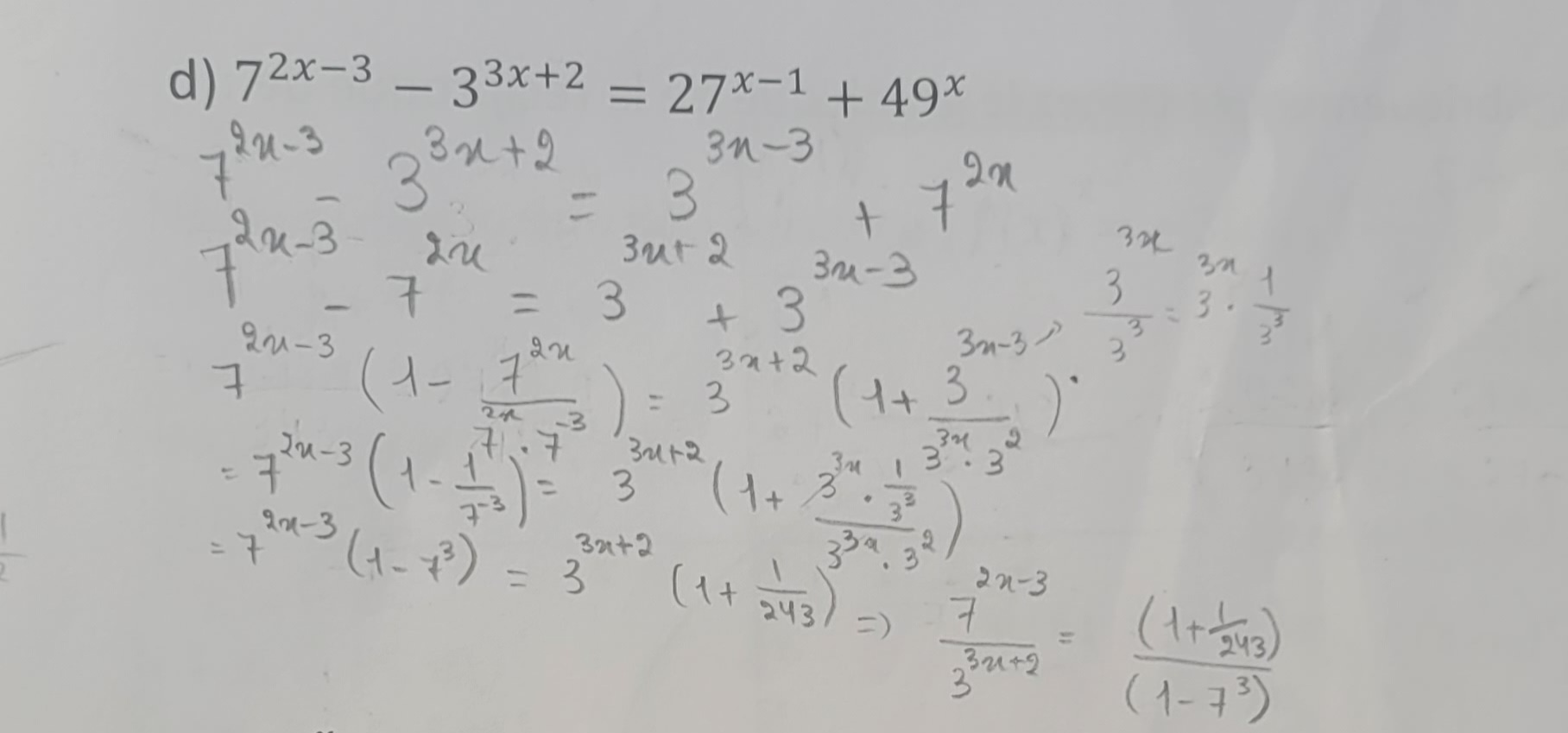
Bonjour, pouvez vous m'aider à continuer le calcul de cette equation? Je vous ai déjà demandé mais j'ai bloqué ici

20240204_144834.jpg

Merci

Mathématiques
avatar
avatar

{t c="richEditor.description.title"} {t c="richEditor.description.paragraphMenu"} {t c="richEditor.description.inlineMenu"} {t c="richEditor.description.embed"}

Explanations (1)

  • Explanation verified by Alloprof

    Explanation verified by Alloprof

    This Explanation was verified by a member of the Alloprof team.

    Options
    2yr.


    J'ai eu le même résultat, exprimé un peu différemment

    Note que le côté gauche ne peut être que positif alors que le dénominateur de côté droit est négatif (1- 7³) < 0 d'où la conclusion.


    QuartzMauve2.jpg


Ask a question