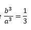
Comment isoler b dans l'équation suivante:
Ce contenu est protégé par le droit d'auteur. Toute reproduction à l'extérieur des forums Alloprof est interdite et pourra être considérée comme une violation du droit d'auteur.
merci :)
{t c="richEditor.description.title"} {t c="richEditor.description.paragraphMenu"} {t c="richEditor.description.inlineMenu"} {t c="richEditor.description.embed"}
Explanation from Alloprof
This Explanation was submitted by a member of the Alloprof team.
Salut 😁
Commence par multiplier par a^3 de chaque côté.
Tu auras donc :
b^3 = 1/3 a^3
Ensuite, en faisant la racine troisième de ça, tu obtiendras b.
N'hésite pas si tu as toujours des questions. 😊
À tout de suite 😎
Explanation from Alloprof
This Explanation was submitted by a member of the Alloprof team.
Salut 😁
Commence par multiplier par a^3 de chaque côté.
Tu auras donc :
b^3 = 1/3 a^3
Ensuite, en faisant la racine troisième de ça, tu obtiendras b.
N'hésite pas si tu as toujours des questions. 😊
À tout de suite 😎